Перейти к:
МНОГОЛЕТНИЕ ТРЕНДЫ СУММАРНОГО ВЛАГОСОДЕРЖАНИЯ ТРОПОСФЕРЫ В РАЗНЫХ ШИРОТНЫХ ЗОНАХ ВОСТОЧНОЙ СИБИРИ
https://doi.org/10.5800/GT-2025-16-6-0869
EDN: GLMFJQ
Аннотация
GPS-измерения являются значимым инструментом для навигации и высокоточной космической геодезии. Важнейшим приложением по результатам обработки GPS-данных является определение уровня суммарного влагосодержания (IWV) в пределах нижней нейтральной части атмосферы. Радиозондирования (РЗ) также являются важным инструментом для непосредственного определения суммарного влагосодержания. По данным запусков радиозондов определяются значения средневзвешенной температуры (Tm) в условном вертикальном столбе с целью извлечения значений IWV из обработанных GPS-данных по полной зенитной тропосферной задержке (ZTD). Рассмотрены изменения суммарного влагосодержания с 1999 по 2021 г. с использованием обработанных данных постоянных GPS-измерений, радиозондирований и приземной метеорологии в пунктах наблюдения IRKT (Иркутск), YAKT (Якутск) и TIXI (Тикси), расположенных в разных широтных областях.
Выполнено сравнение выявленных тенденций влагосодержания по РЗ и GPS-измерениям с расчетами по модели, учитывающей приземные метеоданные. GPS-измерения показали лучшую согласованность с модельными расчетами, чем с данными РЗ. Наблюдается тенденция к росту суммарного влагосодержания тропосферы по данным GPS-наблюдений за весь период исследования; несмотря на большие широтные отличия трех пунктов наблюдения, имеет место консолидированная тенденция на уровне 0.33±0.04 мм за десятилетие.
Ключевые слова
Для цитирования:
Дембелов М.Г., Башкуев Ю.Б., Лухнев А.В., Саньков В.А. МНОГОЛЕТНИЕ ТРЕНДЫ СУММАРНОГО ВЛАГОСОДЕРЖАНИЯ ТРОПОСФЕРЫ В РАЗНЫХ ШИРОТНЫХ ЗОНАХ ВОСТОЧНОЙ СИБИРИ. Геодинамика и тектонофизика. 2025;16(6):869. https://doi.org/10.5800/GT-2025-16-6-0869. EDN: GLMFJQ
For citation:
Dembelov M.G., Bashkuev Yu.B., Lukhnev A.V., Sankov V.A. MULTIYEAR TRENDS IN THE TOTAL MOISTURE CONTENT OF THE TROPOSPHERE IN DIFFERENT-LATITUDE ZONES OF EASTERN SIBERIA. Geodynamics & Tectonophysics. 2025;16(6):869. (In Russ.) https://doi.org/10.5800/GT-2025-16-6-0869. EDN: GLMFJQ
1. ВВЕДЕНИЕ
Многие научно-технические приложения используют данные международной службы GPS (IGS) для определения точного позиционирования. Основными источниками погрешностей в GPS-геодезии являются ошибки орбиты космических аппаратов GPS и тропосферные задержки распространения сигналов [Bevis et al., 1992; Zhang et al., 2019; Nilsson, Elgered, 2008; Durre et al., 2009]. В величине полной тропосферной задержки наиболее значимую роль играет гидростатическая составляющая. Негидростатическая составляющая тропосферной задержки существенна в теплое время года, она сильно зависит от распределения водяного пара в нижней части атмосферы. Атмосферный водяной пар составляет более 60 % естественного парникового содержания и не может быть с достаточной точностью определен по поверхностным метеорологическим наблюдениям. Водяной пар постоянно циркулирует в пределах всей толщи нижней атмосферы, он испаряется на поверхности Земли и в результате конденсации образует облака, а затем возвращается на земную поверхность в виде осадков. Испарение воды в основном происходит за счет солнечного тепла, процесс конденсации воды и выпадения осадков способствует дополнительному выделению тепла в тропосфере. Вариации влагосодержания также могут быть вызваны другими факторами изменения температуры, например изменением содержания других парниковых газов [Nilsson, Elgered, 2008; Bernet et al., 2020]. В работах [Zhang et al., 2019; Nilsson, Elgered, 2008; Durre et al., 2009; Bernet et al., 2020; Makama, Lim, 2019; Ross, Elliott, 2001; Davis et al., 1985] показана связь между изменениями массы вертикально интегрированного водяного пара и температуры. Было обнаружено, что над открытым океаном повышение температуры на 1 К приводит к увеличению IWV примерно на 5–7 % [Mears et al., 2007]. Известно, что положительные тренды IWV в глобальном масштабе проявляют себя все более явно, что в первую очередь связано с эффектом глобального потепления [Ross, Elliott, 2001; Chen, Liu, 2016]. В работе [Ross, Elliott, 2001] показаны положительные тренды IWV по радиозондовым наблюдениям на большинстве станций Северного полушария [Dembelov, Bashkuev, 2023a].
Зенитная тропосферная задержка, определяемая в результате обработки GPS-измерений, позволяет получать значения суммарного влагосодержания в условном вертикальном столбе от земной поверхности до уровня нижней части стратосферы с достаточно высокой точностью. Регулярные GPS-измерения являются важным подходом к исследованию содержания атмосферного водяного пара с независимыми от погодных условий наблюдениями и высоким пространственно-временным разрешением [Haase et al., 2003; Hagemann et al., 2003; Dembelov, Bashkuev, 2023a]. Качество данных PW по GPS-измерениям проверялось радиометром водяного пара в пункте BADG (Бадары), сравнения показали очень хорошее совпадение результатов [Dembelov, Bashkuev, 2022b].
На территории Восточной Сибири на протяжении около 25 лет выполняются постоянные GPS-измерения. С каждым годом количество пунктов наблюдения увеличивается. Рассматриваются три базовых пункта наблюдения, расположенных в разных широтных зонах Восточной Сибири: IRKT (52°13.35' с.ш., 104°19.12' в.д., h=502 м) – среднеширотный континентальный пункт; YAKT (62°01.87' с.ш., 129°40.84' в.д., h=103 м) – северный континентальный пункт; TIXI (71°38.24' с.ш., 128°52.14' в.д., h=53 м) – арктический пункт. Помимо задач по высокоточному позиционированию, GPS-наблюдения удобно использовать в решении задач, связанных с зондированием атмосферы. Постоянные измерения позволяют получать текущие данные о полной зенитной тропосферной задержке сигналов ZTD (м) [Nilsson, Elgered, 2008]. На приемлемом расстоянии от перечисленных GPS-станций находятся пункты запусков радиозондов. Радиозондирования позволяют определять непосредственные значения суммарного влагосодержания нижней атмосферы, а также средневзвешенные значения температуры в условном вертикальном столбе Tm.
При построении продолжительных трендов возможны случайные ошибки, которые в процессе анализа легко устранимы. Кроме того, в течение всего периода GPS-наблюдений имеют место пропуски измерений, которые замещаются моделированием с использованием приземных метеорологических данных. Чем более продолжительны по времени такие замещения, тем менее достоверными будут результаты, описывающие общую картину изменения выявленного уровня влагосодержания тропосферы. Долгосрочные тренды по радиозондовым наблюдениям могут давать заметные искажения из-за недостаточных высот зондирований, отклонений зондирований, связанных с сильным ветром, и других погрешностей измерений [Chen, Liu, 2016]. При едином заранее отработанном подходе обработки GPS-данных и последующем моделировании многолетнего ряда наблюдений можно подобные ошибки свести к минимуму и получить наиболее достоверные тренды изменения суммарного влагосодержания атмосферы [Dembelov, Bashkuev, 2023a].
2. ЗЕНИТНАЯ ТРОПОСФЕРНАЯ ЗАДЕРЖКА И СУММАРНОЕ ВЛАГОСОДЕРЖАНИЕ
Нижняя нейтральная часть атмосферы представляет собой в основном смесь сухих газов, которые в целом описывают гидростатическую компоненту тропосферной задержки и водяного пара, который определяет «влажную» составляющую тропосферной задержки. Гидростатическая часть атмосферы однородна и несложна в моделировании, тогда как «влажная» часть атмосферы распределена очень неравномерно и проявляется с большой вариативностью по времени, особенно в теплый период года [Dembelov, Bashkuev, 2022b].
В связи с быстрым круговоротом воды в атмосфере и с изменением температуры в зависимости от высоты над земной поверхностью распределение водяного пара неоднородно как в вертикальном, так и в горизонтальном направлении. Водяной пар быстро уменьшается с высотой по мере охлаждения атмосферы. Относительно уровня Мирового океана почти половина всего влагосодержания находится в атмосферном слое до высоты 2 км. Менее 5–6 % воды находится выше 5 км, а на уровне стратосферы ее количество составляет менее 1 %. Относительная влажность уменьшается с высотой примерно от 60–90 % у поверхности до 20–40 % при 300 гПа (около 9 км) [Davis et al., 1985; Abraham, Goldblatt, 2022]. ZTD может быть выражена как сумма гидростатической ZHD и «влажной» ZWD составляющих: ZTD=ZHD (расчетная)+ZWD (оценочная). Сигнал от спутника системы GPS, проходя сквозь нижнюю атмосферу, проделывает путь, который отличается от геометрического расстояния на некоторую величину dS [Dembelov, Bashkuev, 2022a]. В зенитном направлении обе компоненты задержки имеют наименьшие значения и они увеличиваются приблизительно обратно пропорционально синусу угла возвышения. При нормировании расстояния dS к зениту получается ZTD [Bevis et al., 1992]:
(1)
Здесь n(h) – показатель преломления, зависящий от высоты h; N(h)=10⁶(n(h)–1) – нормализованный индекс рефракции; hs – высота расположения приемной антенны относительно уровня моря; dh – дифференциальное приращение высоты; Atm – путь луча, который фактически проходит от спутника до приемной антенны сквозь атмосферу; Vac – путь условного луча, который представляет собой геометрическое расстояние от спутника до антенны [Dembelov, Bashkuev, 2022a].
3. УПРОЩЕННАЯ МОДЕЛЬ ДЛЯ ZTD
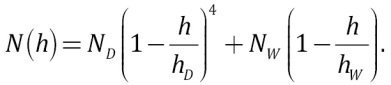
Предполагается, что высотный профиль показателя преломления меняется по модели, учитывающей «сухую» и «влажную» компоненты для N [Hopfield, 1969]:
(2)
Здесь ND=77.6p/T – индекс рефракции для сухого воздуха; NW=373000e/T² – индекс рефракции для водяного пара; p – атмосферное давление (гПа); T – температура воздуха (К); e – парциальное давление водяного пара (гПа); hD=40136+148.72∙t – эффективная высота «сухой» компоненты (м), где t – температура воздуха (°С) [Hopfield, 1969]; hW – максимальная высота для «влажной» компоненты (м). Для всех рассматриваемых пунктов наблюдения примем высоту hW=11 км [Dembelov, Bashkuev, 2022a].
Подставив формулу (2) в формулу (1) и выполнив интегрирование, получим формулы для расчета значений ZHD и ZWD по приземным метеорологическим данным [Dembelov, Bashkuev, 2022a]:
(3)
(4)
Формулы для определения зенитной тропосферной задержки сигналов (3) и (4) являются упрощенным вариантом формулы Хопфильд [Hopfield, 1969]. Для рассматриваемых пунктов наблюдения IRKT, YAKT и TIXI (рис. 1) выполнены сравнительные расчеты ZTD по формулам (3) и (4) и по известным формулам Саастамойнена [Saastamoinen, 1972] с использованием метеорологических данных за весь 2021 г. Среднее отклонение разности расчетов было не более 0.0018 м, коэффициент кросс-корреляции между результатами расчетов был на уровне 0.98. Такая высокая точность подтверждает, что формулы (3) и (4) для расчета ZHD и ZWD с использованием приземных метеорологических данных, наряду с формулами Саастамойнена, являются приемлемыми для моделирования тропосферных задержек.

Рис. 1. Схема расположения пунктов GPS-наблюдения IRKT, YAKT и TIXI на территории Восточной Сибири.
Fig. 1. Schematic diagram of the GPS observation points (IRKT, YAKT and TIXI) location in Eastern Siberia.
4. СУММАРНОЕ ВЛАГОСОДЕРЖАНИЕ НИЖНЕЙ АТМОСФЕРЫ
В результате обработки GPS-данных программой GAMIT [King, Bock, 2000], помимо результатов по высокоточному позиционированию, выдается ZTD и ее горизонтальные градиенты в виде отдельных файлов в универсальном формате. Сравнение данных ZTD, полученных в результате GPS-измерений, с данными, рассчитанными по формулам (3) и (4), показало хорошее совпадение [Dembelov, Bashkuev, 2023b]. Суммарное влагосодержание IWV в тропосфере в условном вертикальном столбе с единичной площадью поперечного сечения 1×1 м пропорционально значению влажной составляющей ZWD [Lukhneva et al., 2016]. Значения ZWD по GPS-наблюдениям получаются вычитанием рассчитанных по формуле (3) значений ZHD из измеренных значений ZTD. Осаждаемая вода PW (м) определяется в виде колонки жидкой воды. Имеет место соотношение PW=IWV/ρ, где ρ – плотность жидкой воды (кг/м³). Зачастую уровень влагосодержания описывается параметром PW.
Суммарное влагосодержание тропосферы IWV определяется над пунктом наблюдения по данным ZWD по формуле [Lukhneva et al., 2016; Dembelov, Bashkuev, 2022b]:
(5)
где k2 – вторая постоянная преломления (K²/гПа) [Davis et al., 1985]; RW – газовая постоянная для водяного пара (Дж∙К⁻¹кг⁻¹) [Lukhneva et al., 2016]; Tm – «средневзвешенная» температура по упругости водяного пара в вертикальном столбе над точкой приема (К). Параметр Tm определяется отношением интегралов [Bevis et al., 1992]:
(6)
5. ТОЧНОСТЬ МОДЕЛЕЙ Tm
Средневзвешенная температура атмосферы (Tm) является ключевым параметром, используемым для расчета осаждаемого водяного пара PW по измеренным значениям ZWD [Ma et al., 2022]. Для выявления моделей Tm для каждого пункта наблюдения использовались данные РЗ в пунктах аэрологии Росгидромета – Ангарск, Якутск и Тикси. Эти пункты РЗ расположены на допустимом для анализа расстоянии от соответствующих GPS-пунктов [Haase et al., 2003]. Данные РЗ извлекаются из набора данных веб-сайта Университета штата Вайоминг (США), где предлагается удобный способ доступа и загрузки глобальных данных радиозондирований. Данные РЗ содержат необходимые вертикальные профили метеорологических параметров (атмосферное давление, температура и давление водяного пара), как правило, с временным периодом два раза в сутки. В большинстве случаев пункты GPS-наблюдений и пункты РЗ не совпадают по месторасположению. Для целей сопоставления данных удаление до 50 км является вполне приемлемым [Haase et al., 2003]. Пункт РЗ Ангарск расположен на расстоянии около 42 км от пункта IRKT. Разность по высоте пунктов наблюдения не превышает 60 м. Пункты РЗ в Якутске и Тикси расположены не дальше 6 км от пунктов GPS-наблюдений YAKT и TIXI соответственно. Разность по высоте расположения над уровнем моря не превышает 40 м [Dembelov, Bashkuev, 2023b].
На рис. 2 показаны изменения значений приземной температуры T и средневзвешенной температуры Tm, рассчитанной по формуле (6), для трех рассматриваемых пунктов наблюдения с 2012 по 2021 г. Сравнение разницы значений Т – Tm представлено в табл. 1. Средние отклонения и среднеквадратические отклонения (СКО) существенно зависят от годовых температурных максимумов и минимумов [Dembelov, Bashkuev, 2023b]. Пункт РЗ Тикси расположен непосредственно на берегу Северного Ледовитого океана (рис. 3), и он постоянно подвержен арктическим ветрам, поэтому радиозонды часто значительно отклоняются от зенитного направления относительно пункта запуска. С этим связана не настолько высокая корреляция между T и Tm.

Рис. 2. Сравнение временных рядов T и Tm, полученных с помощью RS, для трех станций – IRKT (а), YAKT (б) и TIXI (в) за период с 2012 по 2021 г.
Fig. 2. Comparison of RS-derived T and Tm time series for IRKT (а), YAKT (б) and TIXI stations (в) over the period from 2012 to 2021.
Таблица 1. T – Tm сравнение
Table 1. T – Tm comparison
Пункт радиозондирования | Среднее отклонение (К) | СКО (К) | Коэффициент корреляции |
Ангарск (30715) | 5.56 | 6.8 | 0.92 |
Якутск (24959) | 9.09 | 10.6 | 0.93 |
Тикси (21824) | 6.86 | 8.48 | 0.87 |

Рис. 3. Пункт запусков радиозондов «Тикси», местность Полярка (71°35.2' с.ш., 128°55.5' в.д.).
Fig. 3. "Tiksi" point of radiosonde launch, Polyarka locality (71°35.2' N, 128°55.5' E).
На рис. 4 показаны соотношения T и Tm для пункта РЗ Ангарск за 10-летний (6957 измерений) и 23-летний (13613 измерений) периоды. Как видно из рис. 4, выявленные линейные регрессии оказались очень близки (Tm=0.688·T+77.1 и Tm=0.687·T+76.9), поэтому для определения IWV по формуле (5) достаточно учитывать регрессию для Tm за 10-летний срок.

Рис. 4. Соотношения T и Tm, выявленные по данным метеорологических зондирований над г. Ангарском за 2012–2021 г. (а) и 1999–2021 г. (б).
Fig. 4. The ratios of T and Tm obtained based on meteorological soundings over the city of Angarsk in 2012–2021 (а) and 1999–2021 (б).
На рис. 5 представлены соотношения Tm и T для пунктов Якутск и Тикси за 10-летний период с 2012 по 2021 г. Соотношение между Tm и T можно аппроксимировать регрессией в виде линейной и степенной функции. Рис. 5 демонстрирует, что квадратичная функция более точно выражает связь между двумя параметрами [Li et al., 2022]. Для Якутска средние отклонения значений Tm, полученных по формуле (6), от аппроксимаций линейной и квадратичной регрессий равны соответственно 3.76 и 3.45 К. Аналогично для Тикси – 4.16 и 3.83 К соответственно [Dembelov, Bashkuev, 2023b].

Рис. 5. Соотношения T и Tm, полученные по данным метеорологических зондирований за 2012–2021 г. над г. Якутском (а) и п. Тикси (б).
Fig. 5. Ratios of T and Tm obtained from meteorological soundings over Yakutsk (а) and Tiksi (б) in 2012 – 2021.
6. СРАВНЕНИЕ PW, ПОЛУЧЕННЫХ ПО GPS-ИЗМЕРЕНИЯМ И РАДИОЗОНДИРОВАНИЯМ
Помимо программного пакета GAMIT, используется метод GNSS-позиционирования PPP (Precise Point Positioning) [Kalinnikov, Khutorova, 2019; Jiang et al., 2020], который позволяет одним двухчастотным GPS-приемником достичь точности определения координат в пределах нескольких сантиметров. На основе метода PPP-обработки первичных данных реализуются вспомогательные программы и онлайн сервисы для получения данных по тропосферной задержке сигналов GPS. Для этого используются точные эфемериды, предоставляемые пользователям несколькими национальными и международными организациями, при этом не используется корректирующая информация сетей постоянно действующих базовых станций. Необходимо отметить, что по 2020 г. включительно оба метода давали очень близкие результаты по тропосферой задержке. Но с 2021 г. для обработки GPS-данных используется обновленная версия GAMIT, в которую по умолчанию включены новые утилиты по атмосферной задержке.
Приемные антенны пунктов GPS-наблюдения IRKT, IRKM и IRKJ установлены в одном месте в г. Иркутске на территории ВСФ ВНИИФТРИ (рис. 6), поэтому получаемые значения тропосферных задержек в этих трех пунктах абсолютно идентичны и взаимозаменяемы.

Рис. 6. Антенны пунктов постоянных GPS-наблюдений IRKT, IRKM и IRKJ на полигоне ВСФ ВНИИФТРИ (г. Иркутск).
Fig. 6. Antennas of IRKT, IRKM and IRKJ permanent GPS observation points at the VSF VNIIFTRI testing ground (Irkutsk).
На рис. 7 приведено сравнение результатов по ZTD, полученных при обработке первичных данных по программе GAMIT и по методу PPP для пункта IRKJ за 2021 г. Наблюдается высокий уровень взаимной корреляции полученных графиков, при этом за исключением летнего периода имеет место значительное отклонение результатов, получаемых при обработке программой GAMIT. Сравнение полученных данных в течение июля 2021 г. показало взаимную корреляцию не хуже 0.98 и среднее отличие в пределах 0.56 %. Значения ZTD за весь 2021 г. определялись на основе метода PPP.

Рис. 7. Сравнение полученных данных ZTD в результате обработки программным пакетом GAMIT и приложением на основе PPP-метода для пункта IRKJ за 2021 г.
Fig. 7. Comparison between GAMIT-derived and PPP-based ZTD data for IRKJ point in 2021.
Радиозондирования являются инструментом непосредственных наблюдений за уровнем влагосодержания тропосферы, поэтому они представляют собой источник независимых данных для проверки качества обработанных данных по PW, полученных по GPS-наблюдениям. Постоянный пункт GPS-наблюдений ANGR запущен в 2021 г. Он расположен на расстоянии 1.7 км от места запусков радиозондов Ангарск. На рис. 8 представлены сравнительные графики изменения уровня влагосодержания PW, которые определены по GPS-наблюдениям в пунктах IRKJ и ANGR и по данным РЗ над г. Ангарском за январь и июль 2021 г. За период с 1 по 31 января коэффициент взаимной корреляции между значениями PW по GPS-наблюдениям в обоих пунктах и РЗ оказался практически одинаковым (К=0.91), причем среднее отклонение разницы наблюдений в пунктах IRKJ и РЗ (Ангарск) оказалось немного меньше разницы в пунктах ANGR и РЗ (Ангарск), соответственно 0.63 и 0.65 мм. В течение июля, когда влагосодержание тропосферы характеризуется максимальными значениями, среднее отклонение разницы наблюдений в пунктах IRKJ и РЗ (Ангарск) соответствовало 2.03 мм, а в пунктах ANGR и РЗ (Ангарск) – 1.86 мм. Cравнения с радиозондированиями показывают, что среднее отклонение в январе относительно средних значений в пункте ANGR около 14 %, а в пункте IRKJ – порядка 18 %. Аналогичные сравнения для июля в пункте ANGR оказались в пределах 8 %, а в пункте IRKJ равны 7 %.

Рис. 8. Сравнительные графики влагосодержания тропосферы по данным GPS-измерений в пунктах IRKJ и ANGR и радиозондирований (г. Ангарск) за январь (а) и июль (б) 2021 г.
Fig. 8. Graphs for comparing tropospheric moisture contents based on GPS measurements at IRKJ and ANGR points and radiosoundings (Angarsk) for January (а) and July (б) of 2021.
На рис. 9 представлены гистограммы разницы GPS PW – РЗ PW для трех пунктов наблюдения – IRKT, YAKT и TIXI за десятилетний период наблюдений. Для пункта IRKT использована линейная регрессия Tm=77+0.69·T (см. рис. 4) для расчета IWV по формуле (5). Для пунктов YAKT и TIXI использованы квадратичные регрессии соответственно Tm=425–1.87·T+0.0046·T² и Tm=669–3.78·T+0.0084·T² (см. рис. 5). Для пункта IRKT в интервал ±4 мм попадает 78 % результатов разницы GPS PW – РЗ PW, аналогично для пункта YAKT попадает 77 %, для TIXI попадает 75 %.

Рис. 9. Гистограммы невязок GPS PW – РЗ PW для пунктов IRKT, YAKT и TIXI за 2012–2021 г.
Fig. 9. Histograms of GPS PW – RS PW residuals for IRKT, YAKT and TIXI points over 2012–2021.
7. СРАВНЕНИЕ МНОГОЛЕТНИХ ТРЕНДОВ PW ПО ДАННЫМ РЗ, МЕТЕОРОЛОГИИ И GPS
Рассмотрены многолетние изменения значений суммарного влагосодержания в виде осаждаемой воды PW по набору данных GPS-наблюдений и РЗ. В рядах наблюдений отсутствующие данные по GPS-измерениям и РЗ заполнялись значениями PW по метеоданным с использованием формул (4) и (5). Для пункта IRKT доля заполненных значений PW по метеорологическим данным не превысила 5 % в ряду по РЗ и 7 % в ряду по GPS-наблюдениям. В пунктах YAKT и TIXI соответствующие показатели составили: по РЗ – 0 и 6 %, по GPS-наблюдениям – 9 и 8 %. На рис. 10 представлены 23-летние изменения PW, полученные по данным РЗ (рис. 10, а) и в результате обработки GPS-данных (рис. 10, б) для пункта наблюдения IRKT. Во временном ряде по РЗ рассчитанные значения PW на основе метеоданных выделены красным цветом. Аналогично, во временном ряде по GPS-измерениям значения PW, полученные с использованием метеоданных, отображены темно-синим цветом. На рис. 11 и 12 представлены аналогичные 23-летние изменения PW по РЗ и GPS-наблюдениям для пунктов наблюдения YAKT и TIXI. Черные линии показывают общий тренд изменения PW за весь 23-летний срок наблюдений.

Рис. 10. Временной ряд измеренных значений PW в пункте наблюдения IRKT за период 1999–2021 гг. по данным РЗ (а) и по GPS-измерениям (б). Черная линия показывает общий тренд за 23 года.
Fig. 10. Time series of RS-based (a) and GPS-based (б) PW values at IRKT observation point for the period 1999–2021. The black line shows a general trend over 23 years.

Рис. 11. Временной ряд измеренных значений PW в пункте наблюдения YAKT за период 1999–2021 гг. по данным РЗ (а) и по GPS-измерениям (б). Черная линия является общим трендом за 23 года.
Fig. 11. Time series of RS-based (a) and GPS-based (б) PW values at YAKT observation point for the period 1999–2021. The black line shows a general trend over 23 years.

Рис. 12. Временной ряд измеренных значений PW в пункте наблюдения TIXI за период 1999–2021 гг. по данным РЗ (а) и по GPS-измерениям (б). Черная линия является общим трендом за 23 года.
Fig. 12. Time series of RS-based (a) and GPS-based (б) PW values at TIXI observation point for the period 1999–2021. The black line shows a general trend over 23 years.
Как видно из рис. 10 и 11, в пунктах IRKT и YAKT наблюдаются отрицательные тренды PW по данным запусков радиозондов на уровне –0.14 мм и –0.73 мм за десятилетие соответственно. В то же время GPS-измерения в этих двух пунктах показывают положительные тренды на уровне +0.32 и +0.33 мм за десятилетие соответственно. Разнонаправленные результаты десятилетних трендов PW по РЗ и GPS-наблюдениям в первую очередь объясняются редкими радиозондовыми наблюдениями (не чаще двух раз в сутки), а также учетом всех запусков радиозондов, в том числе с недостаточной максимальной высотой зондирования. GPS-измерения же рассматриваются через каждые три часа [Dembelov et al., 2023]. Для пунктов IRKT и YAKT, расположенных в континентальной зоне с большими амплитудами годовых и суточных температурных колебаний, для большей достоверности результатов требуются более частые наблюдения. Необходимо отметить, что в данных условиях определение трендов многолетнего изменения суммарного влагосодержания тропосферы по результатам радиозондирований является некорректным.
Приземная температура в обоих пунктах имеет положительную тенденцию изменения за десятилетие (+0.36 К в пункте IRKT и +0.72 К в пункте YAKT). В приарктическом пункте TIXI наблюдаются положительные тренды как по РЗ (+0.33 мм за десятилетие), так и по GPS-наблюдениям (+0.36 мм за десятилетие) [Dembelov et al., 2023]. За эти же 23 года наблюдений приземная температура за десятилетие изменялась с трендом +1.1 К. В табл. 2 представлены рассматриваемые десятилетние тренды в указанных пунктах наблюдения. Как видно из табл. 2, десятилетние тренды PW по GPS-измерениям в трех пунктах наблюдения показывают довольно близкие положительные значения, тогда как десятилетние тренды приземной температуры воздуха в этих же пунктах значительно увеличиваются по мере увеличения географической широты.
Таблица 2. Изменения PW (мм за десятилетие) по данным РЗ и GPS-наблюдениям, а также изменения приземной температуры (К за десятилетие) в пунктах IRKT, YAKT и TIXI
Table 2. Changes in RS- and GPS-based PW values (mm per decade) and in surface temperature (K per decade) at IRKT, YAKT and TIXI points
Пункт наблюдения | Изменение PW (мм) по данным РЗ | Изменение PW (мм) по GPS-данным | Изменение приземной температуры (К) |
IRKT | –0.14 | +0.32 | +0.36 |
YAKT | –0.73 | +0.33 | +0.72 |
TIXI | +0.33 | +0.36 | +1.1 |
В работах [Chen, Liu, 2016; Wang et al., 2016] отмечалось, что изменение суммарного влагосодержания тропосферы не везде коррелирует с изменением температуры, существуют заметные региональные различия. Во внутриконтинентальных районах корреляция между изменениями PW и приземной температурой меньше, чем над океанами. В некоторых регионах даже отмечаются противоположные тенденции [Wagner et al., 2006]. Значительные изменения PW и приземной температуры в последние годы, показанные в табл. 2, больше связаны с поведением самого водяного пара. Водяной пар гораздо больше других парниковых газов поглощает инфракрасной энергии, которая поступает от земной поверхности. Увеличение содержания водяного пара в атмосфере усиливает потепление, вызванное также другими парниковыми газами. Он поглощает тепло, исходящее от земной поверхности, и задерживает его выход в открытое пространство. Это больше увеличивает нагрев атмосферы, что приводит к еще большему влагосодержанию в атмосфере. Это явление известно как эффект «положительной обратной связи» [Zhou et al., 2023].
Значительное увеличение суммарного влагосодержания тропосферы по данным РЗ и GPS-наблюдений над пунктом TIXI несомненно связано с процессом ускоренного потепления Арктики. Увеличение влагосодержания в атмосфере подтверждает роль местного испарения в усилении арктического гидрологического цикла при потеплении климата, а не притока водяного пара в Арктику извне. В целом, полученные тренды PW и приземной температуры показывают усиление процесса глобального потепления в Арктической зоне.
В рис. 13 отражены десятилетние изменения скорости трендов суммарного влагосодержания (∆PW). Рассмотрены временные интервалы от 10 (1999–2008 гг.) до 23 лет (1999–2021 гг.). Для каждого пункта наблюдения рассмотрены изменения тренда ∆PW по РЗ наблюдениям, приземной метеорологии (meteo PW) и GPS-измерениям. Приземная метеорология подразумевает расчет PW с использованием формул (4) и (5). Наблюдается хорошая консолидация графиков по метеорологической модели и GPS-измерениям, когда учитываются более продолжительные тренды. Тренды по GPS-измерениям за 1999–2019, 1999–2020 и 1999–2021 гг. по всем трем пунктам показали фактически одинаковое значение на уровне 0.34±0.02 мм за десятилетие [Dembelov, Bashkuev, 2023a]. Для пункта IRKT среднее отклонение разницы GPS PW – meteo PW составило 0.15 мм; разницы РЗ PW – meteo PW составило 0.37 мм. Для пункта YAKT среднее отклонение составило соответственно 0.23 и 0.33 мм, для пункта TIXI 0.24 и 0.29 мм соответственно. Таким образом, регулярные GPS-измерения дают наиболее устойчивый многолетний тренд суммарного влагосодержания нижней атмосферы.

Рис. 13. Графики изменения скорости трендов за десятилетие ∆PW, учитывающие временные ряды от 1999–2008 (10 лет) до 1999–2021 гг. (23 года). Рассматриваются изменения трендов, полученных по РЗ (a); по приземной метеорологии (б); по GPS-измерениям (в).
Fig. 13. Graphs of trend velocities per decade ∆PW taking into account time series from 1999–2008 (10 years) to 1999–2021 (23 years). Consideration is being given to RS-based (а), surface meteorology-based (б) and GPS-based (в) trend velocities.
8. ЗАКЛЮЧЕНИЕ
Для определения уровня влагосодержания по набору данных GPS-измерений выявлялись линейные и квадратичные эмпирические модели для Tm по результатам радиозондирований в пунктах аэрологии Росгидромета вблизи рассматриваемых пунктов наблюдения IRKT, YAKT и TIXI. Показано, что для YAKT и TIXI квадратичная модель лучше описывает связь между приземной температурой T и средневзвешенной Tm.
Построены 23-летние ряды суммарного влагосодержания атмосферы на основе данных радиозондирований и GPS-измерений для пунктов IRKT, YAKT и TIXI. За период 1999–2021 гг. рассмотренные тренды PW, оцененные на основе РЗ, для IRKT и YAKT оказались отрицательными, –0.14 и –0.73 мм за десятилетие. Многолетние GPS-измерения в этих двух пунктах показали положительные тренды на уровне +0.32 и +0.33 мм за десятилетие соответственно. В приарктическом пункте TIXI обнаружены положительные изменения PW как по РЗ (+0.33 мм за десятилетие), так и по GPS-наблюдениям (+0.36 мм за десятилетие) [Dembelov, Bashkuev, 2023b]. Изменения приземной температуры воздуха в трех пунктах демонстрируют существенный рост с юга на север (+0.36 К в пункте IRKT, +0.72 К в YAKT и +1.1 К в TIXI). Радиозондирования, помимо того, что они выполняются всего лишь два раза в сутки, имеют некоторые недостатки, которые могут заметно влиять на качество получаемых данных [Haase et al., 2003], поэтому GPS-измерения показали наиболее достоверные 23-летниие изменения влагосодержания тропосферы в трех выбранных пунктах наблюдения.
Суммарное влагосодержание в атмосферном воздухе постоянно меняется и в основном зависит от температуры воздуха и от солнечной радиации, которая необходима в процессе испарения воды с земной поверхности. Существенные увеличения PW и приземной температуры в трех пунктах наблюдения (табл. 2) подтверждают активное проявление эффекта «положительной обратной связи» в последние годы. Особенно сильно это наблюдается в пункте наблюдения TIXI, где проявляется процесс ускоренного потепления Арктики.
Рассмотренные временные ряды: с 1999–2008 (10 лет) до 1999–2021 гг. (23 года) для каждого пункта наблюдения по GPS-измерениям показали консолидированное значение на уровне 0.34±0.02 мм за десятилетие. Хотя за те же 23 года рассмотрения изменения средней приземной температуры за десятилетие заметно отличались и составили +0.36 К для IRKM; +0.72 К для YAKT и +1.1 К для TIXI. Связь изменения PW от изменения температуры проявлялась по GPS-наблюдениям, но по РЗ подобная зависимость отсутствовала.
Таким образом, выполненное исследование, основанное на анализе данных GPS-наблюдений и радиозондирований, позволяет сделать вывод о существенных положительных трендах влагосодержания тропосферы в различных широтных зонах Восточной Сибири. В ходе работы были построены длинные временные ряды PW, что позволило выявить как устойчивые тенденции (в частности, по GPS-данным), так и методологические ограничения радиозондов, связанные с частотой запусков, высотной дискретностью, отклонениями по расстоянию, запаздыванием отсечек и другое.
Интеграция регулярных GPS-наблюдений с метеорологическими и радиозондовыми данными создает надежную основу для удовлетворительного по точности моделирования атмосферных процессов и анализа региональных последствий глобального потепления.
9. БЛАГОДАРНОСТИ
Авторы выражают благодарность научному сотруднику Казанского федерального университета В.В. Калинникову за предоставленную возможность расчетов полной зенитной тропосферной задержки по данным GPS-измерений методом PPP.
10. ЗАЯВЛЕННЫЙ ВКЛАД АВТОРОВ / CONTRIBUTION OF THE AUTHORS
Все авторы внесли эквивалентный вклад в подготовку рукописи, прочли и одобрили финальную версию перед публикацией.
All authors made an equivalent contribution to this article, read and approved the final manuscript.
11. РАСКРЫТИЕ ИНФОРМАЦИИ / DISCLOSURE
Авторы заявляют об отсутствии конфликта интересов, связанного с этой рукописью.
The authors declare that they have no conflicts of interest relevant to this manuscript.
Список литературы
1. Abraham C., Goldblatt C., 2022. A Satellite Climatology of Relative Humidity Profiles and Outgoing Thermal Radiation over Earth’s Oceans. Journal of the Atmospheric Sciences 79 (9), 2243–2265. https://doi.org/10.1175/JAS-D-21-0270.1.
2. Bernet L., Brockmann E., von Clarmann T., Kämpfer N., Mahieu E., Matzler C., Stober G., Hocke K., 2020. Trends of Atmospheric Water Vapour in Switzerland from Ground-Based Radiometry, FTIR and GNSS Data. Atmospheric Chemistry and Physics 20 (19), 11223–11244. https://doi.org/10.5194/acp-2020-77.
3. Bevis M., Businger S., Herring T.A., Rocken C., Anthes R.A., Ware R.H., 1992. GPS Meteorology: Remote Sensing of Atmospheric Water Vapor Using the Global Positioning System. Journal of Geophysical Research: Atmospheres 97 (D14), 15787–15801. https://doi.org/10.1029/92JD01517.
4. Chen B., Liu Zh., 2016. Global Water Vapor Variability and Trend from the Latest 36 Year (1979 to 2014) Data of ECMWF and NCEP Reanalyses, Radiosonde, GPS, and Microwave Satellite. Journal of Geophysical Research: Atmospheres 121 (19), 11442–11462. https://doi.org/10.1002/2016JD024917.
5. Davis J.L., Herring T.A., Shapiro I.I., Rogers A.E.E., Elgered G., 1985. Geodesy by Radio Interferometery: Effects of Atmospheric Modeling Errors on the Estimates on Baseline Lengths. Radio Science 20 (6), 1593–1607. https://doi.org/10.1029/RS020i006p01593.
6. Dembelov M., Bashkuev Y., 2022a. On the Long-Term Trend of Changes in Integrated Water Vapor Based on the Results of Continuous GPS Measurements at the Observation Point IRKM (Irkutsk). In: Proceedings of the IEEE 8th All-Russian Microwave Conference (November 23–25, 2022, Moscow). IEEE, p. 381–385. https://doi.org/10.1109/RMC55984.2022.10079427.
7. Dembelov M.G., Bashkuev Yu.B., 2022b. Estimation of the Tropospheric Moisture Content Derived from GPS Observations, Radio Sounding Data, and Measurements with a Water Vapor Radiometer. Atmospheric and Oceanic Optics 35 (4), 359–365. https://doi.org/10.1134/S1024856022040029.
8. Dembelov M.G., Bashkuev Yu.B., 2023a. Changes in the Total Moisture Content of the Troposphere According to the Data of GPS Measurements and Radiosondes. In: Proceedings of the 29th International Symposium on Atmospheric and Ocean Optics: Atmospheric Physics. SPIE, 1278056. https://doi.org/10.1117/12.2689777.
9. Dembelov M.G., Bashkuev Yu.B., 2023b. Evaluation of the Model of Weighted Mean Temperature in the Troposphere over Irkutsk and Yakutsk Cities. In: Proceedings of the 29th International Symposium on Atmospheric and Ocean Optics: Atmospheric Physics. SPIE, 1278061. https://doi.org/10.1117/12.2690781.
10. Dembelov M.G., Bashkuev Yu.B., Ayurov D.B., 2023. Applied Digital Data Monitoring Platform for Ulaz (Ulan-Ude) and Badg (Badary) Continuous High-Precision GPS Measurements. In: Proceedings of the 29th International Symposium on Atmospheric and Ocean Optics: Atmospheric Physics. SPIE, 1278061. https://doi.org/10.1117/12.2690974.
11. Durre I., Williams C.N., Yin X., Vose R.S., 2009. Radiosonde-Based Trends in Precipitable Water over the Northern Hemisphere: An Update. Journal of Geophysical Research: Atmospheres 114 (D5), 1–8. https://doi.org/10.1029/2008JD010989.
12. Haase J.S., Ge M., Vendel H., Calais E., 2003. Accuracy and Variability of GPS Tropospheric Delay Measurements of Water Vapor in the Western Mediterranean. Journal of Applied Meteorology 42 (11), 1547–1548. https://doi.org/10.1175/1520-0450(2003)0422.0.CO;2.
13. Hagemann S., Bengtsson L., Gendt G., 2003. On the Determination of Atmospheric Water Vapor from GPS Measurements. Journal of Geophysical Research Atmospheres: 108 (D21), 4678. https://doi.org/10.1029/2002JD003235.
14. Hopfield H.S., 1969. Two Quartic Tropospheric Refractivity Profile for Correcting Satellite Data. Journal of Geophysical Research 74 (18), 4487–4499. https://doi.org/10.1029/JC074i018p04487.
15. Jiang W., Chen S., Cai B., Rizos C., Wang J., Shangguan W., 2020. An Analysis of PPP-GPS-Based Decentralized Train Multi-Sensor Navigation System. GPS Solutions 24 (3), 67. https://doi.org/10.1007/s10291-020-00980-5.
16. Kalinnikov V.V., Khutorova O.G., 2019. Validation of Integrated Water-Vapor Content from GNSS Data of Ground-Based Measurements. Izvestiya, Atmospheric and Oceanic Physics 55 (4), 352–356. https://doi.org/10.1134/S0001433819040054.
17. King R.W., Bock Y., 2000. Documentation for the GAMIT GPS. Software Analysis. Version 9.9. Massachusetts Institute of Technology, Cambridge.
18. Li L., Li Y., He Q., Wang X., 2022. Weighted Mean Temperature Modelling Using Regional Radiosonde Observations for the Yangtze River Delta Region in China. Remote Sensing 14 (8), 1909. https://doi.org/10.3390/rs14081909.
19. Лухнева О.Ф., Дембелов М.Г., Лухнев А.В. Определение атмосферного влагосодержания по метеорологическим и GPS-данным // Геодинамика и тектонофизика. 2016. Т. 7. № 4. С. 545–553. https://doi.org/10.5800/GT-2016-7-4-0222.
20. Ma Y., Zhao Q., Wu K., Yao W., Liu Y., Li Z., Shi Y., 2022. Comprehensive Analysis and Validation of the Atmospheric Weighted Mean Temperature Models in China. Remote Sensing 14 (14), 3435. https://doi.org/10.3390/rs14143435.
21. Makama E.K., Lim H.S., 2019. Variability and Trend in Integrated Water Vapour from ERA-Interim and IGRA2 Observations over Peninsular Malaysia. Atmosphere 11 (9), 1012. https://doi.org/10.3390/atmos11091012.
22. Mears C., Santer B.D., Wentz F.J., Taylor K., Wehner M., 2007. Relationship Between Temperature and Precipitable Water Changes over Tropical Oceans. Geophysical Research Letters 34 (24), L24709. https://doi.org/10.1029/2007GL031936.
23. Nilsson T., Elgered G., 2008. Long-Term Trends in the Atmospheric Water Vapor Content Estimated from Ground-Based GPS Data. Journal of Geophysical Research: Atmospheres 113, D19101. https://doi.org/10.1029/2008JD010110.
24. Ross R.J., Elliott W.P., 2001. Radiosonde-Based Northern Hemisphere Tropospheric Water Vapor Trends. Journal of Climate 14 (7), 1602–1612. https://doi.org/10.1175/1520-0442(2001)014<1602:RBNHTW>2.0.CO;2.
25. Saastamoinen J., 1972. Atmospheric Correction for Troposphere and Stratosphere in Radio Ranging of Satellites. In: S.W. Henriksen, A. Mancini, B.H. Chovitz (Eds), The Use of Artificial Satellites for Geodesy. Geophysics Monograph Series. Vol. 15. AGU, p. 247–251. https://doi.org/10.1029/GM015p0247.
26. Wagner T., Beirle S., Grzegorski M., Platt U., 2006. Global Trends (1996–2003) of Total Column Precipitable Water Observed by Global Ozone Monitoring Experiment (GOME) on ERS-2 and Their Relation to Near-Surface Temperature. Journal of Geophysical Research: Atmospheres 111, D12102. https://doi.org/10.1029/2005JD006523.
27. Wang J., Dai A., Mears C., 2016. Global Water Vapor Trend from 1988 to 2011 and Its Diurnal Asymmetry Based on GPS, Radiosonde, and Microwave Satellite Measurements. Journal of Climate 29 (14), 5205–5222. https://doi.org/10.1175/JCLI-D-15-0485.1.
28. Zhang F., Barriot J.-P., Xu G., Hopuare M., 2019. Analysis and Comparison of GPS Precipitable Water Estimates Between Two Nearby Stations on Tahiti Island. Sensors 19 (24), 5578. https://doi.org/10.3390/s19245578.
29. Zhou X., Cheng Y., Liu L., Huang Y., Sun H., 2023. Significant Increases in Water Vapor Pressure Correspond with Climate Warming Globally. Water 15 (18), 3219. https://doi.org/10.3390/w15183219.
Об авторах
М. Г. ДембеловРоссия
670047, Улан-Удэ, ул. Сахьяновой, 6, Республика Бурятия
Конфликт интересов:
Авторы заявляют об отсутствии конфликта интересов, связанного с этой рукописью.
Ю. Б. Башкуев
Россия
670047, Улан-Удэ, ул. Сахьяновой, 6, Республика Бурятия
Конфликт интересов:
Авторы заявляют об отсутствии конфликта интересов, связанного с этой рукописью.
А. В. Лухнев
Россия
664033, Иркутск, ул. Лермонтова, 128
Конфликт интересов:
Авторы заявляют об отсутствии конфликта интересов, связанного с этой рукописью.
В. А. Саньков
Россия
664033, Иркутск, ул. Лермонтова, 128
Конфликт интересов:
Авторы заявляют об отсутствии конфликта интересов, связанного с этой рукописью.
Рецензия
Для цитирования:
Дембелов М.Г., Башкуев Ю.Б., Лухнев А.В., Саньков В.А. МНОГОЛЕТНИЕ ТРЕНДЫ СУММАРНОГО ВЛАГОСОДЕРЖАНИЯ ТРОПОСФЕРЫ В РАЗНЫХ ШИРОТНЫХ ЗОНАХ ВОСТОЧНОЙ СИБИРИ. Геодинамика и тектонофизика. 2025;16(6):869. https://doi.org/10.5800/GT-2025-16-6-0869. EDN: GLMFJQ
For citation:
Dembelov M.G., Bashkuev Yu.B., Lukhnev A.V., Sankov V.A. MULTIYEAR TRENDS IN THE TOTAL MOISTURE CONTENT OF THE TROPOSPHERE IN DIFFERENT-LATITUDE ZONES OF EASTERN SIBERIA. Geodynamics & Tectonophysics. 2025;16(6):869. (In Russ.) https://doi.org/10.5800/GT-2025-16-6-0869. EDN: GLMFJQ












































