Перейти к:
ОСОБЕННОСТИ ВЕЩЕСТВЕННОГО СОСТАВА РАННЕПАЛЕОЗОЙСКИХ ГРАНИТОИДОВ ПАНГАЗДЖИЛГИНСКОГО КОМПЛЕКСА, ВОСТОЧНАЯ ЧАСТЬ ЦЕНТРАЛЬНОГО ПАМИРА, ТАДЖИКИСТАН
https://doi.org/10.5800/GT-2025-16-6-0861
EDN: SXZDBM
Аннотация
Пангазджилгинский комплекс в восточной части Центрального Памира – один из немногих кембрийских интрузивных комплексов региона. В работе рассмотрен ряд вопросов, позволяющих приблизиться к пониманию природы пород комплекса. Кварцевые диориты и гранодиориты пангазджилгинского комплекса, слагающие одноименный массив, являются продуктами кристаллизации единой родоначальной андезитоидной магмы. Присутствие изотопно одновозрастных породам комплекса мафических микрогранулярных включений, представленных монцодиоритами, в кварцевых диоритах и гранодиоритах, как и сама ассоциация пород, указывает на участие в процессе магмогенерации мафических и кислых магм. Преобладание кристаллов амфибола и отсутствие пироксена в кварцевых диоритах, гранодиоритах и монцодиоритах из включений позволяют предположить, что амфибол был главным рано кристаллизующимся минералом, а доминирующая роль амфибола и биотита в породах свидетельствует о значительном влиянии H2O в процессе кристаллизации. Состав пород комплекса, а также монцодиоритов из включений указывает на их тесную связь с плавлением мантийного источника, испытавшего взаимодействие с коровыми породами (или выплавками). В частности, такой гибридный характер источника объясняет вариативный и обогащенный изотопный состав Hf–Nd–Sr в рассматриваемых породах, установленных авторами ранее. Можно полагать, что в магмогенерации материнских для кварцевых диоритов и гранодиоритов магм принимали участие гетерогенные источники: неоднородный коровый источник (преимущественно субдуцируемый осадочный материал) и магмы, возникшие при частичном плавлении обогащенного мантийного вещества, измененного в процессе субдукции. Образование материнских для гранитоидов пангазджилгинского комплекса магм было связано с субдукцией океанической коры Прототетиса под северную окраину Гондваны.
Ключевые слова
Для цитирования:
Одинаев Ш.А., Каллистов Г.А., Аминов Д.Х., Tang G., Ахмедов Д.А., Литвиненко А.К., Ашуралиев С.Б., Ёгибеков Д.Ш. ОСОБЕННОСТИ ВЕЩЕСТВЕННОГО СОСТАВА РАННЕПАЛЕОЗОЙСКИХ ГРАНИТОИДОВ ПАНГАЗДЖИЛГИНСКОГО КОМПЛЕКСА, ВОСТОЧНАЯ ЧАСТЬ ЦЕНТРАЛЬНОГО ПАМИРА, ТАДЖИКИСТАН. Геодинамика и тектонофизика. 2025;16(6):861. https://doi.org/10.5800/GT-2025-16-6-0861. EDN: SXZDBM
For citation:
Odinaev Sh.A., Kallistov G.A., Aminov J.H., Tang G., Akhmedov D.A., Litvinenko A.K., Ashuraliev S.B., Yogibekov J.Sh. COMPOSITIONAL FEATURES OF THE EARLY PALEOZOIC GRANITOIDS OF THE PANGHAZJILGA COMPLEX, EASTERN PART OF THE CENTRAL PAMIR, TAJIKISTAN. Geodynamics & Tectonophysics. 2025;16(6):861. (In Russ.) https://doi.org/10.5800/GT-2025-16-6-0861. EDN: SXZDBM
1. ВВЕДЕНИЕ
Памирское плато, расположенное на стыке альпийско-гималайской и центрально-азиатской складчатых систем, представляет собой ключевую область для изучения процессов коллизионной тектоники и эволюции континентальной коры [Barkhatov, 1962; Schwab et al., 2004]. Формирование Памира связано с множественными этапами аккреции и континентальной коллизии [Robinson, 2015; Schwab et al., 2004; Aminov et al., 2017; Yogibekov et al., 2020; Ashuraliev et al., 2024], которые отражены в геологическом строении и составе пород – от осадочных толщ до многочисленных интрузивных тел различного возраста (рис. 1, б). Центральный Памир, где обнажаются кембрийские гранитоиды, охарактеризованные в этой работе, вместе с Северным и Южным Памиром оказался частью Восточной Гондваны в процессе формирования суперконтинента Пангея [Müller et al., 2022]. В последующем в результате раскрытия океана Палеотетис между Центральным и Южным Памиром [Zhai et al., 2019; Robinson, 2015] стал частью киммерийского супертеррейна. Этот супертеррейн отделился от северной окраины Гондваны в начале перми [Angiolini et al., 2013] и аккретировался к южной окраине Евразии к позднему триасу [Robinson, 2015]. Кайнозойская тектоническая эволюция и воздымание Памирского плато определялись коллизией Индостана с Евразией, которая продолжается до настоящего времени [Aminov et al., 2020; Kufner et al., 2016]. Таким образом, геологическое строение Центрального Памира отражает продолжительную тектономагматическую эволюцию от кембрия до кайнозоя. Гранитоиды Памира играют важную роль, так как их состав, геохронология и геохимия позволяют восстанавливать условия плавления и динамику развития коры в разных процессах эволюции региона.

Рис. 1. Тектоническая карта Тибетского плато и прилегающей территории, показывающая местоположение Памира (а), и тектоническая карта Памирского орогена, показывающая распределение архей-фанерозойских магматических пород и мезозой-кайнозойских гранитогнейсовых куполов (б) (по [Aminov et al., 2023], с изменениями). Разные цвета представляют возраст плутонов.
Fig. 1. Tectonic map of the Tibetan Plateau and adjacent regions showing the location of the Pamir (а), and tectonic map of the Pamir orogen showing the distribution of Archean-Phanerozoic magmatic rocks and Mesozoic to Cenozoic granite-gneiss domes (б) (modifed after [Aminov et al., 2023]). Different colors represent the ages of plutons.
Гранитоидные комплексы Центрального Памира, включая кайнозойские шатпутский и тузакчинский, а также кембрийские пангазджилгинский и зорбурулюкский, представляют собой породы разной природы магматизма: от субдукционного плавления мантийного источника до постколлизионного частичного плавления метасоматизированной мантии и коровой дегидратационной генерации расплавов [Odinaev et al., 2025; Chapman et al., 2018; Schwab et al., 2004; Tang et al., 2024]. Их пространственное распределение, минералого-геохимический состав и структурные взаимоотношения с окружающими породами во многом определяют геодинамическую историю развития Памира.
Несмотря на это, многие аспекты интрузивных образований Центрального Памира остаются недостаточно изученными. В частности, возрастные рамки, источники и механизмы генерации магм, сформировавших гранитоиды пангазджилгинского комплекса – одного из немногих кембрийских интрузивных образований в Центральном Памире, – требуют детального анализа. Настоящее исследование посвящено петрографическому, минералогическому и геохимическому изучению гранитоидов пангазджилгинского комплекса восточной части Центрального Памира. Цель исследования – характеристика вероятных источников магм, сформировавших гранитоиды данного комплекса, а также выявление обстановки их становления на основе изучения вещественного состава слагающих комплекс пород.
2. ГЕОЛОГО-ТЕКТОНИЧЕСКАЯ ОБСТАНОВКА
Центральный Памир, как неотъемлемая часть Памирского плато, является северо-западным продолжением складчатой киммерийской системы Тибета [Barkhatov, 1962; Gubin, 1943, 1960; Markovsky, 1936; Nalivkin, 1936; Nikolaev, 1936]. Тектонически он представляет собой западное продолжение Чиангтангского террейна в Тибете [Schwab et al., 2004; Robinson, 2015]. Палеозойская тектоническая эволюция Центрального Памира была связана c субдукционно-коллизионными процессами, протекавшими как следствие закрытия океанов Прототетис и Палеотетис [Liu et al., 2019; Robinson, 2015]. На Памире начало субдукции океанической коры Прототетиса фиксируется формированием булункольской вулканогенной серии в раннекембрийский период (530 млн лет) [Liu et al., 2023]. Закрытие Прототетиса в конце силурийского периода привело к формированию суперконтинента Пангея [Li S. et al., 2018]. Возраст раннепалеозойских офиолитов Чиангтангского террейна в Тибете указывает на раскрытие океана Палеотетис уже в середине кембрийского периода [Zhai et al., 2019], а его закрытие и коллизия Центрального Памира с Северным устанавливаются по возрасту субдукционно-коллизионных гранитоидов каракульского комплекса, обнажающихся в Северном Памире [Schwab et al., 2004]. В мезозое вместе с Центральным и Южным Тибетом (Чиангтангский и Лхаса террейны соответственно) Центральный Памир, Южный Памир и Каракорум слагали киммерийский супертеррейн, который отделился от Гондваны в начале перми и аккретировался к южному берегу Евразии в конце триаса [Zanchi et al., 2013; Angiolini et al., 2015; Robinson, 2015] (рис. 1, a, б). Центральный Памир занимает приграничное положение между герцинидами Северного Памира и киммеридами Юго-Восточного и Юго-Западного Памира. Киммерийская часть Памира называется Южным Памиром [Barkhatov, 1963; Pashkov, Budanov, 1990]. Вопрос о киммерийском возрасте Центрального Памира установлен в результате выявления [Dronov, 1964] трансгрессивного залегания известняков (К2), связанных с эффузивно-красноцветными породами (₽), на более древних породах, что, в свою очередь, свидетельствует о доверхнемеловой (киммерийской) складчатости Центрального Памира [He et al., 2019].
Магматизм в Центральном Памире выражен в относительно меньшем объеме по сравнению с Северным и Южным Памиром, где магматические образования формировались еще в палеозое и мезозое соответственно [Schwab et al., 2004; Aminov et al., 2017; Yogibekov et al., 2020, 2023; Chapman et al., 2018; Ashuraliev et al., 2024]. В Центральном Памире образования такого возраста практически отсутствуют, хотя авторам работы [Wang et al., 2020] удалось выявить и продатировать позднетриасовые граниты в Центральном Памире. Нами также недавно был выявлен комплекс кембрийских интрузивных образований [Odinaev et al., 2025], тела которого прорывают породы древнего фундамента Центрального Памира [Rutte et al., 2017]. Эти породы представлены гранодиоритами и кварцевыми диоритами пангазджилгинского комплекса, а также гранитами и гнейсогранитами зорбурулюкского комплекса. Помимо этого, в восточной части Центрального Памира обнажаются кайнозойские гранитоиды шатпутского и тузакчинского комплексов, прорывающие докембрийские метаморфические образования, кембрийские магматические комплексы, а также палеозой-мезозойские терригенно-карбонатные толщи этой зоны [Dmitriev, Minaev, 1972].
Пангазджилгинский комплекс представлен крупным Пангазджилгинским массивом диоритов, кварцевых диоритов, гранодиоритов и рядом мелких массивов, сложенных такими же породами и распространенных вдоль долин рек Коинда, Кульма, Караджилгакра [Dmitriev, Minaev, 1972; Baratov, 1976; Baratov et al., 1978; Petrography…, 1988] (рис. 2). Условно к этому же комплексу отнесены кварцевые диориты, гранодиориты и граниты по р. Тохтерек и правобережью р. Шатпут. Породы комплекса вытянуты в юго-восточном направлении и представляют собой пластообразные или линзообразные тела. В юго-восточной части рассматриваемой области породы одного из массивов комплекса на северо-востоке прорывают гнейсограниты зорбурулюкского комплекса условно раннепалеозойского возраста [Gorokhov et al., 1993а, 1993b] (рис. 2). В свою очередь, породы Пангазджилгинского массива прорываются кварцевыми сиенитами более молодого тузакчинского комплекса [Baratov, 1976; Baratov et al., 1978; Petrography…, 1988]. Характерной особенностью пангазджилгинского комплекса является отсутствие более основных пород, чем диориты, однофазное строение массивов и интенсивное преобразование пород комплекса вблизи контакта с молодыми гранитоидами шатпутского и тузакчинского комплексов. Гнейсовидность в породах массива не зависит от направления контактов и имеет унаследованный характер, как неперемещенные ксенолиты вмещающих пород [Slobodskoy, 1969].

Рис. 2. Геологическая карта Пангазджилгинского района, восточная часть Центрального Памира (по [Dmitriev et al., 1972]).
Fig. 2. Geological map of the Panghazjilga area, eastern part of the Central Pamir (after [Dmitriev et al., 1972]).
Пангазджилгинский массив, являющийся петротипом комплекса, имеет площадь около 60 км². Вмещающими породами служат кристаллические породы Музкольского метаморфического комплекса и отложения песчано-сланцевой сарезской свиты. Он расположен в среднем течении р. Пангазджилга на водоразделе между р. Култук и р. Акджилга и в нижнем течении р. Шверь-Айрык (рис. 2). На севере массив прорывается молодыми гранитами шатпутского (рис. 2, 3, д), а на юго-востоке – кварцевыми сиенитами тузакчинского комплекса. Контакт с последними представляет собой мегабрекчию, в которой крупные блоки (от десятков до сотен метров в поперечнике) сцементированы более молодыми гранитами.
Массив имеет простое однофазное строение и сложен зеленовато-серыми среднезернистыми биотит-амфиболовыми кварцевыми диоритами, переходящими вблизи контакта с гранитами шатпутского комплекса в гранодиориты. Иногда в кварцевых диоритах и гранодиоритах встречаются меланократовые включения, среди которых выделяются мафические микрогранулярные включения (ММЕ) (рис. 3, б–г). U-Pb изотопный возраст циркона из одного такого включения (PNDZ21-10) близок возрасту циркона из пород массива [Odinaev et al., 2025]. В ближайшем окружении рассматриваемого массива породы, близкие по составу к ММЕ, не наблюдаются. Кварцевые диориты обычно имеют гнейсовидную текстуру. Жильная серия, связанная с рассматриваемым массивом, представлена редкими дайками диорит-аплитов. Кроме того, породы массива прорываются жилами лейкократовых гранитов шатпутского комплекса кайнозойского возраста, щелочных сиенит-порфиров, не относящихся к данному комплексу, и гранитных пегматитов. U-Pb изотопный возраст циркона из гранитных пегматитов (PNDZ21-9р) в пределах аналитической ошибки по времени соотносится со становлением Пангазджилгинского массива и составляет 527±5 млн лет [Odinaev et al., 2025]. На контакте с песчано-сланцевыми отложениями сарезской свиты породы пангазджилгинского комплекса становятся более мелкозернистыми.

Рис. 3. Взаимоотношения кварцевых диоритов пангазджилгинского комплекса с гранитами шатпутского комплекса, пегматитами и меланократовыми включениями. (а) – контакт кварцевых диоритов и пегматитов; (б) – гранодиорит; (в, г) – ММЕ; (д) – жильный гранит шатпутского комплекса, прорывающий кварцевый диорит.
Fig. 3. Relationships between quartz diorites of the Panghazjilga complex and granites of the Shatput complex, pegmatites, and melanocratic inclusions. (a) – contact between quartz diorites and pegmatites; (б) – granodiorite; (в, г) – MME; (д) – bastard granite of the Shatput complex intruding quartz diorite.
Меловой геологический возраст массивов пангазджилгинского комплекса ранее определялся на основании наблюдений геологических взаимоотношений пород комплекса с вмещающими породами, а также прорывающими их молодыми гранитоидами. Таким образом, породы пангазджилгинского комплекса прорывают гнейсограниты зорбурулюкского комплекса [Dmitriev, Minaev, 1972] и осадочные толщи каменноугольного возраста и, в свою очередь, прорываются гранитами шатпутского комплекса мел-палеогенового возраста [Baratov et al., 1978; Petrography…, 1988]. Результаты определения K-Ar возраста пород характеризуются большим разбросом значений. По биотиту из кварцевых диоритов Пангазджилгинского массива получен возраст, соответствующий 32 млн лет, по Тохтерекскому массиву – разброс значений возраста от 73 до 22 млн лет [Baratov et al., 1978; Petrography…, 1988]. Однако нами был получен U-Pb изотопный возраст цирконов из кварцевых диоритов и гранодиоритов Пангазджилгинского массива, который свидетельствует о кембрийском времени его становления: кристаллы циркона с четкой осцилляторной зональностью, Th/U отношением от 0.3 до 0.9 и распределением РЗЭ, характерным для неизмененных магматических цирконов, имеют конкордантный возраст в пределах аналитической ошибки, составляющей 517±1 и 520±2 млн лет для кварцевых диоритов и гранодиоритов соответственно [Odinaev et al., 2025]. Полученные значения U-Pb возраста и в краевых, и в центральных частях кристаллов циркона сопоставимы [Odinaev et al., 2025].
3. МАТЕРИАЛЫ И МЕТОДЫ ИССЛЕДОВАНИЯ
По долине р. Пангазджилга всего было собрано 11 проб из главных разновидностей пород, MME и пегматитов пангазджилгинского комплекса (Пангазджилгинского массива).
Химический состав минералов исследован на рентгеновском микроанализаторе SX-100 фирмы Cаmеса при ускоряющем напряжении 15 кВ и токе электронного зонда 20 нА (аналитик Н.Н. Фаррахова, ЦКП «Геоаналитик», ИГГ УрО РАН, г. Екатеринбург).
Определение химического состава пород проводилось при помощи рентгеноспектрального флуоресцентного метода (XRF), а редких и рассеянных элементов – методом масс-спектрометрии (ИСП-МС) в лаборатории Института геохимии Гуанчжоу Китайской академии наук в соответствии с методикой, подробно описанной в работе [Li X.-H. et al., 2006].
4. ВЗАИМООТНОШЕНИЯ ПОРОД КОМПЛЕКСА, ИХ ПЕТРОГРАФИЧЕСКАЯ ХАРАКТЕРИСТИКА И ХИМИЧЕСКИЙ СОСТАВ МИНЕРАЛОВ
Полевые наблюдения в верховьях долины р. Пангазджилга свидетельствуют о том, что пангазджилгинский комплекс, состоящий в основном из диоритов, кварцевых диоритов и гранодиоритов, демонстрирует сложные геологические взаимоотношения с окружающими породами (см. рис. 2; рис. 3). Вблизи контактов с более молодыми гранитами и кварцевыми сиенитами шатпутского и тузакчинского комплексов изначально массивные породы комплекса приобретают гнейсовидный облик. Наблюдаемые в кварцевых диоритах и гранодиоритах (см. рис. 2; рис. 3, в, г) имеют округлую или овальную форму, нередко с фестончатыми контактами. Реакционные каймы на контакте таких включений и вмещающих гранитоидов или ороговикование пород включений не наблюдаются. Гранитные жилы и пегматиты, часто разноориентированные, прорывают породы комплекса (рис. 3, а, в, д).
Контакт кварцевого диорита пангазджилгинского (PNDZ21-2) и гранитов шатпутского комплекса четкий. При приближении к контакту с гранитами в кварцевом диорите незначительно увеличивается объемное содержание плагиоклаза, калинатрового полевого шпата и кварца и порода, в целом, по составу приближается к гранодиориту.
4.1. Кварцевые диориты и гранодиориты пангазджилгинского комплекса
Породы пангазджилгинского комплекса по модальному и химическому составу варьируются от кварцевых диоритов (PNDZ21-2) до гранодиоритов (PNDZ21-11) с различным соотношением темноцветных минералов (амфибол и биотит). Структура пород равномерно-зернистая и меняется от мелко- и среднезернистой (PNDZ21-2) до крупнозернистой (PNDZ21-11). Микроструктура гипидиоморфно-зернистая (рис. 4, а). Текстура массивная в гранодиоритах до слабогнейсовидной в кварцевых диоритах, обусловленной ориентировкой чешуек биотита и амфибол-биотитовых агрегатов (рис. 4, б).

Рис. 4. Фотографии шлифов из пород пангазджилгинского комплекса (PNDZ21-2 и PNDZ21-11).
(a) – структура и текстура кварцевого диорита (PNDZ21-2) с анализатором; (б) – биотит-амфиболовый агрегат, ориентированный по гнейсовидности (PNDZ21-2) с анализатором; (в) – мирмекит (PNDZ21-11) c анализатором; (г) – амфибол-биотитовый агрегат с включениями неправильной формы кварца и плагиоклаза в амфиболе (PNDZ21-11) c анализатором. Здесь и далее условные обозначения минералов приведены по [Warr, 2021].
Fig. 4. Photomicrographs of thin sections from rocks of the Panghazjilga complex (PNDZ21-2 and PNDZ21-11).
(a) – structure and texture of quartz diorite (PNDZ21-2) under crossed polars; (б) – biotite–amphibole aggregate aligned along gneissosity (PNDZ21-2) under crossed polars; (в) – myrmekite (PNDZ21-11) under crossed polars; (г) – amphibole–biotite aggregate with irregularly shaped quartz and plagioclase inclusions in amphibole (PNDZ21-11) under crossed polars. Mineral abbreviations henceforth are from [Warr, 2021].
Объемное соотношение минералов в породах варьируется. Породы состоят из плагиоклаза (от 25 об. % в кварцевых диоритах (PNDZ21-2) до 45–50 об. % в гранодиоритах (PNDZ21-11)), калинатрового полевого шпата (7–8 об. %), кварца (от 5 об. % в кварцевых диоритах до 10 об. % в гранодиоритах), амфибола (от 8 об. % в гранодиоритах до 15 об. % в кварцевых диоритах) и биотита (от 12 об. % в гранодиоритах до 25 об. % в кварцевых диоритах). Плагиоклаз, представленный андезином (табл. 1) и, реже, олигоклазом, часто образует идиоморфные или субидиоморфные таблички размером до 1.5–2.0 мм (в среднем около 1 мм) с хорошо развитым полисинтетическим двойникованием. В единичных зернах отмечаются антипертиты. Калинатровый полевой шпат представлен ортоклазом (табл. 1), образует зерна неправильной формы размером до 1.5–2.5 мм (в среднем около 1 мм), нередко содержащие включения плагиоклаза. Местами на контакте калинатрового полевого шпата и плагиоклаза в последнем наблюдаются мирмекиты (рис. 4, в). Амфибол в кварцевых диоритах и гранодиоритах образует зерна преимущественно неправильной формы размером до 1.7–2.0 мм (в среднем около 0.7 мм) и представлен преимущественно паргаситом с плеохроизмом в зеленых тонах (табл. 2; рис. 5). Индекс магнезиальности Mg# в паргасите из кварцевого диорита (0.53–0.56) чуть выше, чем в паргасите из гранодиорита (0.44–0.51). Отмечаются различия в уровнях содержания галогенов в амфиболе из гранодиорита (F=0.19–0.28 мас. %; Cl=0.07–0.12 мас. %) и кварцевого диорита (F=0.35–0.43 мас. %; Cl=0.23–0.30 мас. %). Нередко совместно с биотитом или без него амфибол слагает агрегаты размером до 3 мм (см. рис. 4, г). Часто в зернах амфибола наблюдаются округлые выделения кварца и реже – плагиоклаза (см. рис. 4, г). Биотит (табл. 3; рис. 5) образует чешуйки размером от 1.6 мм (PNDZ21-2) до 2.5 мм (PNDZ21-11) либо их агрегаты размером до 3 мм. Биотит из гранодиорита отличается по составу от биотита из кварцевого диорита меньшим индексом магнезиальности (Mg# возрастает от 0.48–0.50 в гранодиоритах до 0.52–0.55 в кварцевых диоритах) и пониженными концентрациями галогенов (F=0.27–0.38 мас. %; Cl=0.13 мас. % в биотите из гранодиоритов; F=0.58–0.78 мас. %; Cl=0.24–0.29 мас. % в биотите из кварцевых диоритов). Иногда отмечаются включения в биотите рудных минералов, титанита. Кварц ксеноморфен по отношению к рассмотренным минералам и часто имеет блочное или мозаичное угасание. Размеры зерен варьируются от менее 0.1 до 2.5 мм. Местами наблюдаются участки с перекристаллизованным кварцем. Акцессорные минералы представлены цирконом, апатитом, титанитом, магнетитом, рутилом.
Таблица 1. Составы полевых шпатов из пород пангазджилгинского комплекса и MME (в мас. %)
Table 1. Compositions of feldspars from the Panghazjilga complex rocks and MME, in wt. %
Номер образца | PNDZ21-2 | PNDZ21-11 | PNDZ21-7 | |||||||||||||
SiO2 | 57.81 | 57.82 | 57.87 | 58.10 | 58.09 | 58.22 | 58.30 | 58.51 | 64.72 | 56.94 | 57.28 | 57.98 | 63.84 | 64.09 | 64.34 | 57.63 |
Al2O3 | 25.85 | 25.91 | 26.36 | 26.46 | 25.80 | 26.15 | 25.99 | 25.64 | 18.23 | 26.04 | 25.70 | 25.45 | 18.12 | 18.30 | 18.07 | 26.07 |
FeO | 0.14 | 0.11 | 0.12 | 0.11 | 0.17 | 0.14 | 0.18 | 0.13 | 0.08 | 0.06 | 0.07 | 0.21 | 0.03 | н.п.о. | н.п.о. | 0.14 |
CaO | 8.67 | 8.75 | 9.05 | 8.78 | 8.18 | 8.73 | 8.66 | 8.29 | н.п.о. | 9.17 | 8.70 | 8.20 | 0.07 | 0.02 | н.п.о. | 8.66 |
BaO | 0.11 | 0.20 | 0.10 | 0.04 | 0.05 | 0.04 | 0.01 | 0.04 | 1.00 | н.п.о. | н.п.о. | 0.12 | 0.69 | 0.68 | 0.87 | 0.08 |
Na2O | 6.84 | 6.71 | 6.61 | 6.92 | 6.81 | 6.77 | 7.05 | 6.72 | 1.11 | 6.81 | 6.84 | 7.24 | 1.46 | 1.14 | 1.20 | 6.92 |
K2O | 0.28 | 0.29 | 0.22 | 0.24 | 0.33 | 0.26 | 0.28 | 0.29 | 14.80 | 0.19 | 0.28 | 0.26 | 14.62 | 14.80 | 14.89 | 0.23 |
Total | 99.7 | 99.77 | 100.33 | 100.65 | 99.43 | 100.28 | 100.47 | 99.62 | 99.94 | 99.21 | 98.86 | 99.46 | 98.83 | 99.03 | 99.37 | 99.72 |
Si | 2.60 | 2.60 | 2.59 | 2.58 | 2.62 | 2.60 | 2.59 | 2.63 | 3.00 | 2.57 | 2.59 | 2.60 | 2.98 | 2.99 | 3.00 | 2.58 |
Al | 1.37 | 1.37 | 1.39 | 1.39 | 1.37 | 1.38 | 1.36 | 1.36 | 1.00 | 1.38 | 1.37 | 1.35 | 1.00 | 1.01 | 0.99 | 1.38 |
Fe | 0.01 | н.п.о. | н.п.о. | н.п.о. | 0.01 | 0.01 | 0.01 | 0.01 | н.п.о. | н.п.о. | н.п.о. | 0.01 | н.п.о. | н.п.о. | н.п.о. | 0.01 |
Ca | 0.42 | 0.42 | 0.43 | 0.42 | 0.40 | 0.42 | 0.41 | 0.40 | н.п.о. | 0.44 | 0.42 | 0.40 | н.п.о. | н.п.о. | н.п.о. | 0.42 |
Ba | н.п.о. | н.п.о. | н.п.о. | н.п.о. | н.п.о. | н.п.о. | н.п.о. | н.п.о. | 0.02 | н.п.о. | н.п.о. | н.п.о. | 0.01 | 0.01 | 0.02 | н.п.о. |
Na | 0.60 | 0.59 | 0.57 | 0.60 | 0.60 | 0.59 | 0.61 | 0.59 | 0.10 | 0.60 | 0.60 | 0.63 | 0.13 | 0.10 | 0.11 | 0.60 |
K | 0.02 | 0.02 | 0.01 | 0.01 | 0.02 | 0.02 | 0.02 | 0.02 | 0.88 | 0.01 | 0.02 | 0.02 | 0.87 | 0.88 | 0.89 | 0.01 |
Примечание. PNDZ21-2 – кварцевый диорит; PNDZ21-11 – гранодиорит; PNDZ21-7 – MME в кварцевом диорите. н.п.о. – ниже предела обнаружения.
Note. PNDZ21-2 – quartz diorite; PNDZ21-11 – granodiorite; PNDZ21-7 – MME in quartz diorite. BDL – below detection limit.
Таблица 2. Составы амфиболов из пород пангазджилгинского комплекса и MME (в мас. %)
Table 2. Compositions of amphiboles from the Panghazjilga complex rocks and MME, in wt. %
Номер образца | PNDZ21-2 | PNDZ21-11 | PNDZ21-7 | |||||||||||||
SiO2 | 43.10 | 43.69 | 43.93 | 43.99 | 44.18 | 44.7 | 45.06 | 40.90 | 43.45 | 43.54 | 43.59 | 44.22 | 44.81 | 42.88 | 43.45 | 43.77 |
TiO2 | 1.08 | 0.98 | 0.90 | 1.02 | 0.95 | 1.01 | 0.67 | 1.17 | 1.04 | 1.12 | 0.75 | 0.58 | 0.86 | 1.15 | 1.42 | 1.08 |
Al2O3 | 9.73 | 9.34 | 8.83 | 9.58 | 9.74 | 8.88 | 8.59 | 11.62 | 9.71 | 9.43 | 9.46 | 8.45 | 8.43 | 9.59 | 8.96 | 8.69 |
FeO | 18.23 | 18.84 | 18.42 | 18.28 | 18.48 | 17.48 | 17.53 | 20.46 | 19.65 | 19.61 | 19.46 | 19.46 | 18.81 | 17.68 | 17.34 | 17.48 |
MnO | 0.39 | 0.42 | 0.44 | 0.35 | 0.29 | 0.36 | 0.37 | 0.46 | 0.52 | 0.55 | 0.46 | 0.47 | 0.48 | 0.41 | 0.39 | 0.44 |
MgO | 10.32 | 10.17 | 10.48 | 10.60 | 10.25 | 10.91 | 11.30 | 7.90 | 8.84 | 9.09 | 9.34 | 9.68 | 9.71 | 10.21 | 10.81 | 10.67 |
CaO | 12.08 | 11.86 | 11.93 | 12.09 | 11.87 | 12.05 | 11.98 | 11.86 | 11.81 | 12.00 | 11.93 | 12.08 | 11.9 | 11.88 | 12.03 | 12.00 |
Na2O | 1.19 | 1.23 | 1.19 | 1.29 | 1.26 | 1.20 | 1.19 | 1.17 | 1.07 | 1.05 | 1.09 | 0.94 | 0.98 | 1.40 | 1.35 | 1.28 |
K2O | 1.36 | 1.22 | 1.12 | 1.22 | 1.26 | 1.11 | 1.07 | 1.50 | 1.20 | 1.17 | 1.08 | 0.87 | 0.94 | 1.25 | 1.19 | 1.07 |
F | 0.43 | 0.40 | 0.39 | 0.38 | 0.35 | 0.38 | 0.38 | 0.24 | 0.24 | 0.21 | 0.28 | 0.22 | 0.19 | 0.29 | 0.29 | 0.24 |
Cl | 0.29 | 0.30 | 0.23 | 0.27 | 0.28 | 0.24 | 0.24 | 0.12 | 0.11 | 0.10 | 0.07 | 0.12 | 0.10 | 0.25 | 0.27 | 0.22 |
Total | 98.17 | 98.45 | 97.85 | 99.05 | 98.91 | 98.29 | 98.37 | 97.37 | 97.61 | 97.85 | 97.50 | 97.09 | 97.19 | 96.97 | 97.48 | 96.92 |
Si | 6.53 | 6.60 | 6.65 | 6.58 | 6.61 | 6.70 | 6.74 | 6.31 | 6.62 | 6.62 | 6.64 | 6.75 | 6.81 | 6.56 | 6.60 | 6.67 |
Al(IV) | 1.47 | 1.40 | 1.35 | 1.42 | 1.39 | 1.30 | 1.26 | 1.69 | 1.38 | 1.38 | 1.36 | 1.25 | 1.20 | 1.44 | 1.40 | 1.33 |
Al(VI) | 0.27 | 0.26 | 0.23 | 0.27 | 0.33 | 0.27 | 0.25 | 0.42 | 0.37 | 0.31 | 0.34 | 0.27 | 0.31 | 0.29 | 0.20 | 0.23 |
Ti | 0.12 | 0.11 | 0.10 | 0.12 | 0.11 | 0.11 | 0.08 | 0.14 | 0.12 | 0.13 | 0.09 | 0.07 | 0.10 | 0.13 | 0.16 | 0.12 |
Fe³⁺ | 0.27 | 0.31 | 0.30 | 0.28 | 0.27 | 0.23 | 0.30 | 0.26 | 0.23 | 0.23 | 0.27 | 0.29 | 0.22 | 0.22 | 0.21 | 0.22 |
Fe²⁺ | 2.01 | 2.03 | 2.00 | 1.97 | 2.00 | 1.94 | 1.85 | 2.36 | 2.27 | 2.27 | 2.18 | 2.18 | 2.17 | 2.04 | 1.98 | 2.00 |
Mg | 2.33 | 2.29 | 2.37 | 2.36 | 2.29 | 2.44 | 2.52 | 1.82 | 2.01 | 2.06 | 2.12 | 2.20 | 2.20 | 2.33 | 2.45 | 2.42 |
Mn²⁺ | 0.05 | 0.05 | 0.06 | 0.04 | 0.04 | 0.05 | 0.05 | 0.06 | 0.07 | 0.07 | 0.06 | 0.06 | 0.06 | 0.05 | 0.05 | 0.06 |
Fe²⁺ | 0.03 | 0.04 | 0.03 | 0.04 | 0.04 | 0.02 | 0.04 | 0.02 | н.п.о. | н.п.о. | 0.02 | 0.02 | н.п.о. | 0.01 | 0.01 | 0.01 |
Ca | 1.92 | 1.91 | 1.91 | 1.92 | 1.90 | 1.94 | 1.91 | 1.93 | 1.93 | 1.94 | 1.92 | 1.92 | 1.94 | 1.94 | 1.94 | 1.94 |
Ca | 0.04 | 0.01 | 0.02 | 0.02 | н.п.о. | н.п.о. | 0.01 | 0.04 | н.п.о. | 0.02 | 0.03 | 0.06 | н.п.о. | 0.01 | 0.02 | 0.02 |
Na | 0.35 | 0.36 | 0.35 | 0.37 | 0.37 | 0.35 | 0.35 | 0.35 | 0.32 | 0.31 | 0.32 | 0.28 | 0.29 | 0.42 | 0.40 | 0.38 |
K | 0.26 | 0.24 | 0.22 | 0.23 | 0.24 | 0.21 | 0.20 | 0.30 | 0.23 | 0.23 | 0.21 | 0.17 | 0.18 | 0.24 | 0.23 | 0.21 |
Mg# | 0.53 | 0.52 | 0.53 | 0.54 | 0.53 | 0.56 | 0.56 | 0.44 | 0.47 | 0.48 | 0.49 | 0.50 | 0.51 | 0.54 | 0.55 | 0.55 |
Примечание. PNDZ21-2 – кварцевый диорит; PNDZ21-11 – гранодиорит; PNDZ21-7 – MME в кварцевом диорите.
Note. PNDZ21-2 – quartz diorite; PNDZ21-11 – granodiorite; PNDZ21-7 – MME in quartz diorite.
Таблица 3. Составы биотитов из пород пангазджилгинского комплекса и MME (в мас. %)
Table 3. Compositions of biotites from the Panghazjilga complex rocks and MME, in wt. %
Номер образца | PNDZ21-2 | PNDZ21-11 | PNDZ21-7 | ||||||||||
SiO2 | 36.04 | 36.39 | 36.73 | 36.78 | 37.19 | 35.41 | 35.68 | 35.91 | 36.01 | 36.08 | 36.08 | 35.93 | 36.17 |
TiO2 | 3.30 | 3.67 | 3.26 | 3.57 | 3.07 | 3.66 | 3.37 | 3.04 | 3.25 | 3.17 | 3.39 | 3.18 | 3.32 |
Al2O3 | 13.73 | 13.65 | 13.91 | 13.63 | 13.60 | 14.57 | 14.29 | 15.09 | 14.16 | 14.57 | 14.23 | 13.85 | 13.67 |
Cr2O3 | н.п.о. | н.п.о. | н.п.о. | н.п.о. | н.п.о. | н.п.о. | н.п.о. | н.п.о. | н.п.о. | н.п.о. | н.п.о. | 0.08 | 0.22 |
FeO | 20.48 | 20.29 | 20.23 | 20.17 | 19.74 | 21.77 | 22.18 | 20.70 | 22.23 | 21.20 | 21.89 | 18.63 | 19.88 |
MnO | 0.22 | 0.25 | 0.28 | 0.23 | 0.26 | 0.31 | 0.23 | 0.21 | 0.29 | 0.36 | 0.29 | 0.32 | 0.27 |
MgO | 11.27 | 11.30 | 11.76 | 11.64 | 12.14 | 10.29 | 10.19 | 10.39 | 10.30 | 10.08 | 10.14 | 12.12 | 11.39 |
Na2O | 0.08 | 0.08 | 0.11 | 0.11 | 0.07 | 0.10 | 0.06 | 0.10 | 0.07 | 0.09 | 0.08 | 0.09 | 0.12 |
K2O | 9.28 | 9.35 | 9.38 | 9.48 | 9.39 | 8.94 | 9.31 | 9.46 | 9.29 | 9.42 | 9.32 | 9.31 | 9.19 |
F | 0.60 | 0.58 | 0.76 | 0.61 | 0.78 | 0.35 | 0.27 | 0.37 | 0.32 | 0.38 | 0.31 | 0.76 | 0.65 |
Cl | 0.24 | 0.26 | 0.29 | 0.25 | 0.28 | 0.14 | 0.14 | 0.13 | 0.14 | 0.14 | 0.13 | 0.22 | 0.23 |
Total | 95.24 | 95.82 | 96.71 | 96.46 | 96.52 | 95.54 | 95.72 | 95.40 | 96.06 | 95.49 | 95.86 | 94.46 | 95.09 |
Si | 2.80 | 2.81 | 2.81 | 2.82 | 2.84 | 2.75 | 2.77 | 2.78 | 2.79 | 2.80 | 2.79 | 2.80 | 2.81 |
Al(IV) | 1.20 | 1.19 | 1.19 | 1.18 | 1.16 | 1.25 | 1.23 | 1.22 | 1.21 | 1.20 | 1.21 | 1.20 | 1.19 |
Al(VI) | 0.19 | 0.21 | 0.19 | 0.05 | 0.18 | 0.08 | 0.08 | 0.15 | 0.08 | 0.13 | 0.09 | 0.07 | 0.06 |
Ti | 0.06 | 0.05 | 0.07 | 0.21 | 0.07 | 0.21 | 0.20 | 0.18 | 0.19 | 0.19 | 0.20 | 0.19 | 0.19 |
Cr | н.п.о. | н.п.о. | н.п.о. | н.п.о. | н.п.о. | н.п.о. | н.п.о. | н.п.о. | н.п.о. | н.п.о. | н.п.о. | 0.01 | 0.01 |
Fe²⁺ | 1.33 | 1.31 | 1.30 | 1.29 | 1.26 | 1.41 | 1.44 | 1.34 | 1.44 | 1.38 | 1.42 | 1.21 | 1.29 |
Mn | 0.01 | 0.02 | 0.02 | 0.02 | 0.02 | 0.02 | 0.02 | 0.01 | 0.02 | 0.02 | 0.02 | 0.02 | 0.02 |
Mg | 1.31 | 1.30 | 1.34 | 1.33 | 1.38 | 1.19 | 1.18 | 1.20 | 1.19 | 1.17 | 1.17 | 1.41 | 1.32 |
Na | 0.01 | 0.01 | 0.02 | 0.02 | 0.01 | 0.02 | 0.01 | 0.02 | 0.01 | 0.01 | 0.01 | 0.01 | 0.02 |
K | 0.92 | 0.92 | 0.92 | 0.93 | 0.92 | 0.89 | 0.92 | 0.93 | 0.92 | 0.93 | 0.92 | 0.93 | 0.91 |
Mg# | 0.52 | 0.53 | 0.54 | 0.54 | 0.55 | 0.49 | 0.48 | 0.50 | 0.48 | 0.49 | 0.48 | 0.57 | 0.53 |
Примечание. PNDZ21-2 – кварцевый диорит; PNDZ21-11 – гранодиорит; PNDZ21-7 – MME в кварцевом диорите.
Note. PNDZ21-2 – quartz diorite; PNDZ21-11 – granodiorite; PNDZ21-7 – MME in quartz diorite.

Рис. 5. Составы биотитов (а) и амфиболов (б) из пород пангазджилгинского комплекса. PNDZ21-2 – кварцевый диорит, PNDZ21-11 – гранодиорит, PNDZ21-7 – ММЕ.
Fig. 5. Compositions of biotites (a) and amphiboles (б) from rocks of the Panghazjilga complex. PNDZ21-2 – quartz diorite, PNDZ21-11 – granodiorite, PNDZ21-7 – MME.
Вторичные изменения выражены в слабой серицитизации плагиоклаза, пелитизации калинатрового полевого шпата, частичной хлоритизации биотита и амфибола, частичной актинолитизации магнезиальной роговой обманки, а также в образовании вторичного эпидота, который ассоциирует с биотитом и амфиболом.
4.2. Мафические меланократовые включения
Наблюдаемые MME (шл. PNDZ21-7 и шл. PNDZ21-10) имеют размер от первых сантиметров до 20 см с различными соотношениями фемических и салических фаз (см. рис. 3, б–г). Вариации составов таких включений, по-видимому, обусловливаются разной степенью контаминации вмещающим кварцевым диоритом. Для изучения были взяты включения, которые по текстурно-структурным характеристикам можно отнести к мафическим микрогранулярным включениям.
MME представлены монцодиоритом (шл. PNDZ21-7 и PNDZ21-10). Структура мелкозернистая до среднезернистой, микроструктура гипидиоморфно-зернистая с размером зерен около 0.5 мм, местами пойкилитовая (в амфиболе наблюдаются включения кварца и плагиоклаза) (рис. 6, а, б). Текстура массивная. Порода состоит из амфибола (около 30–40 об. %), плагиоклаза (около 40 об. %), калинатрового полевого шпата (около 7 об. %), биотита (около 10 об. %), отмечается кварц (около 1 об. %).

Рис. 6. Фотографии шлифов ММЕ в кварцевом диорите и пегматита.
(а, б) – MME без анализатора; (в) – фрагмент пегматита (PNDZ21-9р) с микрографической структурой близ контакта с кварцевым диоритом пангазджилгинского комплекса c анализатором; (г) – пегматитовый прожилок, прорывающий MME в кварцевом диорите (PNDZ21-10) c анализатором.
Fig. 6. Photomicrographs of thin sections of MMEs in quartz diorite and pegmatite thin sections.
(a, б) – MME plane-polarized light; (в) – fragment of pegmatite (PNDZ21-9p) with micrographic texture near the contact with quartz diorite of the Panghazjilga complex, under crossed polars; (г) – pegmatitic vein intruding a MME in quartz diorite (PNDZ21-10) under crossed polars.
Плагиоклаз представлен андезином (см. табл. 1), размер зерен варьируется от менее 0.5 до 1.5 мм (в среднем около 1 мм). Калинатровый полевой шпат ксеноморфен и образует зерна размером до 0.5 мм. Местами наблюдаются мирмекиты. Кварц заполняет промежутки между ранее выделившимися минералами, и размер его выделений не превышает 0.5 мм. Часто кварц наблюдается в виде округлых, реже – в виде неправильных форм выделений в амфиболе.
Амфибол представлен паргаситом (см. табл. 2; рис. 5) и образует зерна размером до 1.5 мм и их крупные агрегаты до 2.5 мм, нередко совместно с биотитом (рис. 6, a). По составу паргасит очень близок паргаситу из гранодиоритов и кварцевых диоритов пангазджилгинского комплекса, а по индексу магнезиальности (Mg#=0.54–0.55) сопоставим с паргаситом из кварцевых диоритов. По содержанию фтора (F=0.24–0.29 мас. %) паргасит из MME близок паргаситу из гранодиорита, хлора (Cl=0.22–0.27 мас. %) – паргаситу из кварцевого диорита. Часто амфибол содержит включения округлых выделений кварца и плагиоклаза. Биотит образует чешуйки длиной до 1 мм и агрегаты с амфиболом и представлен биотитом (табл. 3; см. рис. 5). По содержанию главных компонентов, индексу магнезиальности и концентрациям фтора и хлора биотит из меланократового включения сопоставим с биотитом из кварцевых диоритов. Отличительной особенностью биотита из MME является содержание Cr2O3 до 0.22 мас. %, тогда как в биотитах из пород комплекса хром отсутствует. Акцессорная минерализация представлена апатитом и цирконом.
Вторичные изменения выражены в виде слабой степени соссюритизации плагиоклаза, пелитизации калинатрового полевого шпата, частичной актинолитизации первичного амфибола, а также в развитии хлорита по биотиту.
MME (PNDZ21-10), пересеченное пегматитовым прожилком, по структуре и текстуре сопоставимо с включением PNDZ21-7 (рис. 6, а, б).
Порода (PNDZ21-10) состоит из амфибола (около 60 об. %), плагиоклаза (около 17 об. %), калинатрового полевого шпата (около 10 об. %), биотита (около 10 об. %) и кварца (около 3 об. %). Амфибол представлен обыкновенной роговой обманкой и образует зерна размером до 1.5 мм и их крупные агрегаты, нередко совместно с биотитом (рис. 6, в, г). Биотит образует чешуйки длиной до 1 мм и агрегаты с амфиболом. Плагиоклаз представлен андезином, размер зерен варьируется от менее 0.5 до 1.5 мм (в среднем около 1 мм). Калинатровый полевой шпат ксеноморфен и образует зерна размером до 0.5 мм. Местами наблюдаются мирмекиты. Кварц заполняет промежутки между ранее выделившимися минералами, и размер его выделений не превышает 0.5 мм. Часто кварц наблюдается в виде округлых выделений, реже – в виде выделений неправильной формы в амфиболе.
Подобные MME, как и вмещающие их кварцевые диориты, нередко рассечены пегматоидными прожилками мощностью до 2 см (см. рис. 3, в).
Небольшие по размеру включения (ксенолиты?) мелкозернистой структуры изометричной или вытянутой формы присутствуют и в гранодиорите (см. рис. 3, б). Они сложены существенно биотитовым агрегатом. Включения в гранодиорите отличаются от MME в кварцевых диоритах, в которых главным минералом является амфибол (см. рис. 3, в, г; рис. 6, а, б).
4.3. Гранитные пегматиты
Пегматит (PNDZ21-9р и PNDZ21-9ра), прорывающий кварцевый диорит, имеет крупнозернистую пегматитовую структуру (размеры кристаллов калинатрового полевого шпата достигают 1 см) с участками микрографической структуры (рис. 6, в). На контакте калинатрового полевого шпата и плагиоклаза наблюдаются мирмекиты. В приконтактовой с вмещающим кварцевым диоритом части микрографическая структура наиболее сильно выражена: в полевых шпатах интенсивно развиты закономерные выделения кварца. В пегматите присутствуют единичные зерна магнетита.
Микропегматит, прорывающий MME в кварцевом диорите, образует прожилок мощностью менее 1 см (см. рис. 3, в). Структура мелкозернистая, текстура массивная. Микроструктура аллотриоморфно-зернистая. Порода состоит из кварца и полевых шпатов примерно в равных соотношениях. Микрографическая структура не наблюдается. В зернах кварца наблюдается блочное погасание (рис. 6, г).
5. ХИМИЧЕСКИЙ СОСТАВ ПОРОД
Химический состав пород пангазджилгинского комплекса приведен в работе [Odinaev et al., 2025, табл. 4]. Здесь дано его детальное описание.
5.1. Кварцевые диориты и гранодиориты пангазджилгинского комплекса
Содержание SiO2 в породах основной фазы пангазджилгинского комплекса варьируется от 61.2 до 65.4 мас. %. Концентрации Na2O+K2O=5.5–5.8 мас. %, на диаграмме TAS породы преимущественно занимают поля диоритов и гранодиоритов (рис. 7, а). Породы содержат повышенные количества щелочей и относятся к субщелочному петрохимическому ряду. Содержания K2O высокие, что позволяет отнести гранодиориты к высококалиевой известково-щелочной серии: соотношение K2O/Na2O в них варьируется в небольших пределах – от 0.78 до 1.05 (рис. 7, б). В породах содержание Al2O3 составляет 15.4–16.3 мас. % с индексом насыщения глиноземом A/CNK=0.92–0.97, что определяет попадание фигуративных точек на диаграмме в метаглиноземистую область (рис. 7, в). Кварцевые диориты и гранодиориты находятся в полях магнезиальных щелочно-известковистых пород (рис. 7, г, д), значения #Fe# и MALI составляют, соответственно, около +0.5 и –0.5. На бинарных диаграммах (рис. 8) наблюдаются несущественные вариации в содержаниях петрогенных оксидов, содержания TiO2, Al2O3, CaO и Na2O снижаются, а K2O повышается с понижением кремнекислотности от кварцевых диоритов к гранодиоритам.

Рис. 7. Классификационные диаграммы для пород пангазджилгинского комплекса и ассоциирующих с ними пород.
(а) – диаграмма TAS; (б) – K2O – SiO2 [Peccerillo, Taylor, 1976]; (в) – A/NK – A/CNK; (г) – диаграмма с MALI [Frost et al., 2001]; (д) – FeOtot/(FeOtot+MgO) – SiO2 [Frost et al., 2001].
Fig. 7. Classification diagrams for rocks of the Panghazjilga complex and associated rocks.
(a) – TAS diagram; (б) – K2O – SiO2 [Peccerilo, Taylor, 1976]; (в) – A/NK – A/CNK; (г) – MALI diagram [Frost et al., 2001]; (д) – FeOtot/(FeOtot+MgO) – SiO2 [Frost et al., 2001].

Рис. 8. Диаграммы Харкера [Harker, 1909] для пород пангазджилгинского комплекса и ассоциирующих с ними пород.
Fig. 8. Harker diagrams [Harker, 1909] for rocks of the Panghazjilga complex and associated rocks.
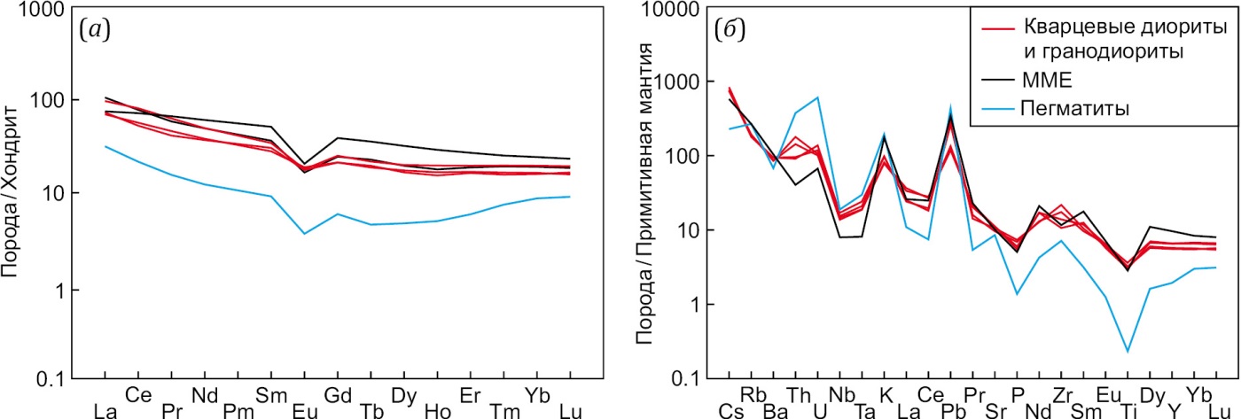
Редкоземельные спектры в кварцевых диоритах и гранодиоритах пангазджилгинского комплекса аналогичны, характеризуются умеренной степенью дифференциации и отчетливо выраженной отрицательной Eu аномалией (рис. 9, а). Суммарные концентрации РЗЭ составляют 95–126 г/т. Кривые распределения имеют пологий вид: (La/Yb)n отношение варьируется незначительно – от 4.2 до 5.5. На спайдер-диаграмме редких элементов, нормированных на примитивную мантию (рис. 9, б), для кривых распределения характерны отрицательные аномалии Nb, Ba, Ti, отсутствие аномалии Sr, положительная аномалия Pb.

Рис. 9. Спектры распределения редкоземельных элементов: (а) – нормированных на состав хондрита С1 [Sun, McDonough, 1989], (б) – распределение элементов-примесей, нормированных на состав примитивной мантии [Sun, McDonough, 1989] для пород пангазджилгинского комплекса и ассоциирующих с ними пород.
Fig. 9. Rare earth element distribution patterns: (a) – normalized to C1 chondrite composition [Sun, McDonough, 1989], (б) – trace element distribution patterns, normalized to primitive mantle composition [Sun, McDonough, 1989], for rocks of the Panghazjilga complex and associated rocks.
5.2. Мафические меланократовые включения
Рассматриваемые MME представлены монцодиоритом (PNDZ21-7, PNDZ21-10 и PNDZ21-10а). По суммарному содержанию щелочей порода относится к щелочному петрохимическому ряду, располагаясь близ границы с породами щелочного ряда (см. рис. 7, а). Содержания K2O высокие, что позволяет отнести рассматриваемый монцодиорит к шошонитовой серии (см. рис. 7, б). Соотношение K2O/Na2O в породе составляет 2.5–2.7 [Odinaev et al., 2025, табл. 4]. Индекс насыщения глиноземом (A/CNK) равен 0.61–0.66, что определяет попадание фигуративных точек на диаграмме в метаглиноземистую область (см. рис. 7, в). Монцодиориты находятся в полях магнезиальных щелочно-известковистых пород (см. рис. 7, д). Концентрации TiO2 составляют 0.5–0.6 мас. %, CaO – 7.2–7.9 мас. %, содержание общего железа – 7.1–8.3 мас. %, MgO – 6.0–6.3 мас. % (см. рис. 8) [Odinaev et al., 2025, табл. 4].
Редкоземельные спектры в монцодиорите из MME в гранодиоритах пангазджилгинского комплекса характеризуются умеренной степенью дифференциации и отчетливо выраженной отрицательной Eu аномалией (рис. 9, а). Суммарные концентрации РЗЭ составляют 134 г/т. Кривая распределения имеет пологий вид: (La/Yb)n отношение составляет 3.1. На спайдер-диаграмме редких элементов [Sun, McDonough, 1989], нормированных на примитивную мантию (рис. 9, б), для кривой распределения характерны отрицательные аномалии Nb, Ba, отсутствие аномалии Sr, четко выраженная отрицательная Ti аномалия и выраженная положительная аномалия Pb. По характеру распределения редких элементов и общему уровню их концентраций монцодиориты из MME близки вмещающим их кварцевым диоритам пангазджилгинского комплекса (рис. 9).
5.3. Гранитные пегматиты
Фигуративные точки пегматитов на диаграмме TAS попадают в поле распространения гранитов и принадлежат субщелочному петрохимическому ряду (см. рис. 7, а). По содержанию K2O гранитные пегматиты относятся к высококалиевой известково-щелочной серии. Индекс насыщения глиноземом A/CNK=1.03–1.10, что определяет попадание фигуративных точек на диаграмме в пералюминиевую область (см. рис. 7, в). Породы находятся в полях магнезиальных щелочно-известковистых пород (см. рис. 7, д). Пегматиты слабо обогащены глиноземом относительно кварцевых диоритов и гранодиоритов (см. рис. 7, в).
Редкоземельные спектры в гранитном пегматите характеризуются относительно высокой степенью дифференциации и отчетливо выраженной отрицательной Eu аномалией (рис. 9, а). Суммарные концентрации РЗЭ составляют 35 г/т. Кривые распределения имеют пологий вид: (La/Yb)n отношение составляет 3.63. Стоит отметить корытообразный вид кривой вследствие обогащения породы тяжелыми редкоземельными элементами – Yb и Lu. На спайдер-диаграмме редких элементов, нормированных на примитивную мантию (рис. 9, б), для кривых распределения характерны отрицательные аномалии Nb, Ba, положительная аномалия Sr, четко выраженная отрицательная Ti аномалия и выраженные положительные аномалии Th, U и Pb. Характерной особенностью гранитного пегматита является положительная Zr аномалия. K/Rb отношение составляет 285, Rb/Sr – 0.94. Наклон кривой распределения РЗЭ в пегматите выражен меньше, чем в кварцевых диоритах и гранодиоритах ((La/Yb)n=3.6), и обращает на себя внимание корытообразный вид кривой в области средних редкоземельных элементов (MREE) за счет увеличения содержания Yb, а также повышенные концентрации U и Th.
6. ОБСУЖДЕНИЕ
Рассматриваемые кварцевые диориты и гранодиориты пангазджилгинского комплекса являются продуктами кристаллизации единой родоначальной магмы. Так как в петротипическом массиве отсутствуют более основные разности пород, исходный расплав по составу был близок андезитоидному. Последующая эволюция расплава при остывании от кристаллизации кварцевых диоритов к гранодиоритам подчиняется процессу фракционной кристаллизации: по мере увеличения содержания SiO2 закономерно уменьшаются концентрации MgO, Fe2O3 общ, Al2O3, CaO, Na2O и слегка увеличиваются – TiO2 и K2O (см. рис. 8) [Odinaev et al., 2025, табл. 4]). Из-за близости составов кварцевых диоритов и гранодиоритов разница в поведении редкоземельных и редких элементов в них не существенна (рис. 9). В составе главных породообразующих минералов различия также отсутствуют.
Весьма пологий вид кривых распределения РЗЭ при (La/Yb)n от 4.2 до 5.5, общий уровень содержаний РЗЭ предполагают их связь с обедненным источником. Выраженные отрицательные аномалии Eu (Eu/Eu*=1.4–1.7) подчеркивают значительную роль фракционирования плагиоклаза в их петрогенезисе.
Присутствие мафических ММЕ, представленных монцодиоритами, в кварцевых диоритах и гранодиоритах, как и сама ассоциация пород, указывает на участие в процессе магмогенерации мафических и кислых магм. Монцодиориты характеризуются высокими относительно основных разностей пород комплекса содержаниями K2O (см. рис. 7). Стоит отметить, что темноцветные минералы из MME, по-видимому, изначально были богаче хромом, о чем свидетельствует содержание Cr2O3 в биотите из монцодиорита, равное 0.2 мас. % (табл. 3, PNDZ21-7). Преобладание кристаллов амфибола и отсутствие пироксена в кварцевых диоритах, гранодиоритах и монцодиорите из MME позволяют предположить, что амфибол был доминирующим рано кристаллизующимся минералом. Главная роль в минеральном составе пород принадлежит амфиболу и биотиту, что свидетельствует о значительном влиянии H2O в процессе кристаллизации. Повышенные содержания MgO в монцодиоритах, до 6.3 мас. %, и индекс магнезиальности (Mg#), равный 0.59–0.64 при SiO2=53.7–56.2 мас. %, а также высокие содержания Cr (до 545 г/т), V (до 151 г/т) и Ni (до 106 г/т) могут свидетельствовать о тесной связи монцодиоритов с плавлением мантийного источника, испытавшего взаимодействие с коровыми породами (или выплавками). В таких породах в качестве первичных темноцветных минералов могли быть оливин и/или пироксен, преобразованные в условиях насыщенности системы водой в амфибол [Weinberg, Hasalová, 2015; Zhao et al., 2021]. Обосновать присутствие первичных оливина и/или пироксена в MME не представляется возможным, так как в настоящее время каких-либо реликтов оливина или пироксена, а также псевдоморфоз амфибола по пироксену в них не обнаружено.
Расплав, порции которого в последующем «разрушились» на включения в гранитоидной неконсолидированной магме, вполне мог в какой-то мере претерпеть контаминацию еще до своего внедрения. В процессе гибридизации между мафическими микрогранулярными включениями и салической магмой, объем которой несоизмеримо был бóльшим, происходило переуравновешивание системы, выраженное в перераспределении петрогенных элементов и элементов-примесей и преобразовании состава минералов во включениях. Этим, в частности, может объясняться сходство редкоземельного спектра монцодиоритов из ММЕ и вмещающих кварцевых диоритов. Такая гибридизация характерна для многих массивов [Didier, Barbarin, 1991; Collins et al., 2000; Burmakina, Tsygankov, 2013]. В настоящее время в породах из MME не обнаружено реликтов минералов, сохранивших «первичные» метки, которые позволили бы достоверно реконструировать исходный состав расплава и, как следствие, понять механизм смешения магм.
Согласно [Odinaev et al., 2025], кварцевые диориты, гранодиориты характеризуются обогащенным и вариативным изотопным составом Hf–Nd–Sr (εHf (t) от –4.5 до +0.9; εNd(t) от –5.56 до –4.02; (⁸⁷Sr/⁸⁶Sr)i=0.70571–0.70844). В монцодиоритах из MME εHf (t) варьируется от –5.78 до +6.93; εNd(t) от –4.25 до –4.87; (⁸⁷Sr/⁸⁶Sr)i составляет 0.70212–0.70265.
На диаграмме Nb/Yb – Th/Yb (рис. 10, а) фигуративные точки составов монцодиоритов из MME, кварцевых диоритов лежат выше поля мантийной последовательности: состав монцодиорита смещен относительно составов кварцевых диоритов в сторону более обогащенного мантийного вещества, а составы кварцевых диоритов располагаются в поле субдукционно-модифицированной (субконтинентальной) литосферной мантии (SZLM). Мы находим это подтверждение и на диаграмме TiO2/Yb – Th/Nb (рис. 10, б). Изотопные характеристики Hf–Nd–Sr, приведенные для этих пород в работе [Odinaev et al., 2025], подтверждают роль вещества субконтинентальной литосферной мантии в их петрогенезисе с доминирующим влиянием эволюционировавших коровых компонентов. Вероятно, материнские магмы кварцевых диоритов пангазджилгинского комплекса и, соответственно, гранодиоритов, являющихся продуктами их фракционирования, формировались при участии плавящегося преимущественно субконтинентального литосферного мантийного источника с незначительной примесью более фертильного мантийного вещества, взаимодействовавшего с коровым материалом. Продуцируемые магмы подвергались гибридизации, дифференциации в коровых условиях, что привело к образованию промежуточных по составу магм со схожими изотопными Nd–Hf характеристиками.

Рис. 10. Дискриминационные диаграммы для пород пангазджилгинского комплекса.
(а) – Nb/Yb – Th/Yb [Pearce, 2008]; (б) – TiO2/Yb – Th/Nb [Pearce et al., 2021]; (в) – Nb/La – Ce/Pb. MORB – базальты срединно-океанических хребтов, OIB – базальты океанических островов, EMORB – базальты задуговых океанических бассейнов, OPB – океанические платобазальты, SZLM – литосферная мантия, модифицированная в процессе субдукции.
Fig. 10. Discrimination diagrams for rocks of the Panghazjilga complex.
(a) – Nb/Yb – Th/Yb [Pearce, 2008]; (б) – TiO2/Yb – Th/Nb [Pearce et al., 2021]; (в) – Nb/La – Ce/Pb. MORB – mid-ocean ridge basalts, OIB – ocean island basalts, EMORB – enriched mid-ocean ridge basalts, OPB – oceanic plateau basalts, SZLM – subduction-modified lithospheric mantle.
Рассматриваемые кварцевые диориты, гранодиориты и MME демонстрируют положительные аномалии Pb (см. рис. 9, б), что указывает на потенциальное влияние коровых материалов или SZLM, измененных при субдукции. Изотопный состав Sr и Nd, демонстрируемый рассматриваемыми породами, позволяет предположить вклад в магматический источник субдуцированного осадочного материала [Odinaev et al., 2025]. Выраженный характер отрицательных аномалий Ta, Nb и Ti также может указывать на значимость роли субдукционного процесса в формировании как монцодиоритов, так и кварцевых диоритов и гранодиоритов. Коровым материалом, вероятно, служил осадочный материал субдуцированных осадков (рис. 10, в).
Таким образом, в генерации материнских для кварцевых диоритов и гранодиоритов магм принимали участие гетерогенные источники: коровый источник (преимущественно осадочный материал) и магмы, возникающие при частичном плавлении обогащенного мантийного вещества, измененного в процессе субдукции. Аналогичные обогащенные мантийные источники были предложены и для кембрийских основных пород Памиро-Тибетского региона [Liu et al., 2019; Hu et al., 2023; Xie et al., 2024].
Генетическая связь связь пегматита с породами пангазджилгинского комплекса, которые им прорываются, несмотря на близкие значения U-Pb возраста, не очевидна. Согласно [Odinaev et al., 2025], пегматиты характеризуются обогащенным и вариативным изотопным составом Hf–Nd–Sr (εHf (t) от –2.41 до +0.95; εNd(t) от –4.87 до –4.99 и более радиогенный стронций (⁸⁷Sr/⁸⁶Sr)i=0.71069–0.71074). Вероятно, гранитные пегматиты образовались из самостоятельных выплавок, а породы Пангазджилгинского массива могли выступать лишь в качестве источника тепла для генерации гранитного расплава.
Гранитоиды пангазджилгинского комплекса образовались в кембрийский период (517±1 – 527±5 млн лет) [Odinaev et al., 2025]. В этот период Памир был частью северной окраины Восточной Гондваны [Müller et al., 2022], его тектоническое развитие во многом определялось субдукцией океанической плиты Прототетиса [Liu et al., 2019]. Субдукция Прототетиса началась в раннем кембрии, о чем свидетельствует формирование надсубдукционных габбро на Северном Памире [Zhang et al., 2019]. Субдуцируя на юг, под северную окраину Гондваны [Li X.-Y. et al., 2018], этот океан закрылся в силуре [Li S.Z. et al., 2016]. Мы считаем, что образование материнских для гранитоидов пангазджилгинского комплекса магм следует отнести к субдукции Прототетиса. При этом сложно говорить о времени метасоматизма литосферной мантии. Обогащение мантийного субстрата несовместимыми элементами могло быть связано как с предыдущими тектономагматическими циклами, так и с субдукционными процессами Прототетиса.
7. ЗАКЛЮЧЕНИЕ
Кварцевые диориты и гранодиориты пангазджилгинского комплекса являются производными единого источника, генерирующего магмы андезитоидного состава. Особенности состава пород, а также присутствие изотопно одновозрастных породам комплекса мафических микрогранулярных включений, представленных монцодиоритами, в кварцевых диоритах и гранодиоритах, как и сама ассоциация пород, свидетельствуют о смешанной, гетерогенной природе источника. Важная роль в генерации магм принадлежала плавящемуся обогащенному мантийному источнику, испытавшему взаимодействие с коровыми породами (или выплавками) и преобразованному в процессе субдукции. В качестве корового компонента мог выступать неоднородный коровый источник с преобладанием субдуцируемого осадочного материала. Образование магм, давших начало гранитоидам пангазджилгинского комплекса, было обусловлено субдукцией океанической коры Прототетиса под северную окраину Гондваны, частью которой, в то время являлась тектоническая зона Центрального Памира.
8. БЛАГОДАРНОСТИ
Авторы выражают благодарность сотрудникам лаборатории геодинамики фанерозоя и петрогенезиса Института геологии, сейсмостойкого строительства и сейсмологии Национальной академии наук Таджикистана А.А. Джобирову, Х.Х. Абдуллозоде, С. Саидбекову, Р.Э. Назирзоде, У.Э. Эшову и Научно-исследовательского центра экологии и окружающей среды Центральной Азии НАНТ (г. Душанбе) за помощь в процессе пробоподготовки. Также выражается благодарность старшему научному сотруднику лаборатории С.Б. Ятимову за оказанную помощь во время проведения полевых работ.
9. ЗАЯВЛЕННЫЙ ВКЛАД АВТОРОВ / CONTRIBUTION OF THE AUTHORS
Все авторы внесли эквивалентный вклад в подготовку рукописи, прочли и одобрили финальную версию перед публикацией.
All authors made an equivalent contribution to this article, read and approved the final manuscript.
10. РАСКРЫТИЕ ИНФОРМАЦИИ / DISCLOSURE
Авторы заявляют об отсутствии конфликта интересов, связанного с этой рукописью.
The authors declare that they have no conflicts of interest relevant to this manuscript.
Список литературы
1. Aminov J., Ding L., Mamadjonov Y., Dupont-Nivet G., Aminov J., Zhang L.Y., Yoqubov S., Aminov J., Abdulov S., 2017. Pamir Plateau Formation and Crustal Thickening Before the India-Asia Collision Inferred from Dating and Petrology of the 110–92 Ma Southern Pamir Volcanic Sequence. Gondwana Research 51, 310–326. https://doi.org/10.1016/j.gr.2017.08.003.
2. Aminov J., Koulakov I., Jakovlev A., Zhao J., El-Khrepy S., Aminov J., Al Arifi N., Aminov J., Mamadjanov Y., 2020. Directions of Lithosphere Interactions in the Pamir – Hindu Kush Junction Inferred from Anisotropic Tomography. Canadian Journal of Earth Sciences 57 (5), 601–616. https://doi.org/10.1139/cjes-2019-0081.
3. Aminov J., Roperch P., Dupont-Nivet G., Cordier C., Guillot S., Glodny J., Timmerman M.J., Sudo M. et al., 2023. Contractional Deformation Between Extensional Dome Exhumation in Central Pamir at 17–15 Ma Constrained by Metamorphic and Paleomagnetic Data from the Bartang Volcanic Rocks, Tajikistan. Tectonophysics 868, 230080. https://doi.org/10.1016/j.tecto.2023.230080.
4. Angiolini L., Zanchi A., Zanchetta S., Nicora A., Vezzoli G., 2013. The Cimmerian Geopuzzle: New Data from South Pamir. Terra Nova 25 (5), 352–360. https://doi.org/10.1111/ter.12042.
5. Angiolini L., Zanchi A., Zanchetta S., Nicora A., Vuolo I., Berra F., Henderson C., Malaspina N., Rettori R., Vachard D., Vezzoli G., 2015. From Rift to Drift in South Pamir (Tajikistan): Permian Evolution of a Cimmerian Terrane. Journal of Asian Earth Sciences 102, 146–169. https://doi.org/10.1016/j.jseaes.2014.08.001.
6. Ashuraliev S., Xiao W., Mao Q., Yang H., Miao S., Yogibekov D., Aminov J., Moghadam H.S., Mamadjanov Y., Odinaev Sh., 2024. Tectonic Evolution of the South Pamir Orogen: Insights from the Permian to Cretaceous Magmatism. Lithos 480–481, 107648. https://doi.org/10.1016/j.lithos.2024.107648.
7. Расчленение стратифицированных и интрузивных образований Таджикистана / Ред. Р.Б. Баратов. Душанбе: Дониш, 1976. 207 с.
8. Петрология и геохимия магматических формаций Памира и Гиссаро-Алая / Ред. Р.Б. Баратов, В.В. Могаровский, В.С. Лутков. Душанбе: Дониш, 1978. 343 с.
9. Бархатов Б.П. Маршрут Хорог – устье р. Висхарви // Путеводитель экскурсий II Всесоюзного тектонического совещания. Душанбе: Изд-во АН Таджикской ССР, 1962. С. 23–46.
10. Бархатов Б.П. Тектоника Памира. Л.: ЛГУ, 1963. 244 с.
11. Burmakina G.N., Tsygankov A.A., 2013. Mafic Microgranular Enclaves in Late Paleozoic Granitoids in the Burgasy Quartz Syenite Massif, Western Transbaikalia: Composition and Petrogenesis. Petrology 21 (3), 280–303. https://doi.org/10.1134/S086959111303003X.
12. Chapman J.B., Scoggin S.H., Kapp P., Carrapa B., Ducea M.N., Worthington J., Oimahmadov I., Gadoev M., 2018. Mesozoic to Cenozoic Magmatic History of the Pamir. Earth and Planetary Science Letters 482, 181–192. https://doi.org/10.1016/j.epsl.2017.10.041.
13. Collins W.J., Richards S.R., Healy B.E., Ellison P.I., 2000. Origin of Heterogeneous Mafic Enclaves by Two-Stage Hybridization in Magma Conduits (Dykes) Below and in Granitic Magma Chambers. Earth and Environmental Science Transactions of the Royal Society of Edinburgh 91 (1–2), 27–45. https://doi.org/10.1017/S0263593300007276.
14. Didier J., Barbarin B. (Eds), 1991. Enclaves and Granite Petrology. Developments in Petrology. Vol. 13. Elsevier, Amsterdam, 625 p.
15. Дмитриев Э.А., Минаев В.Е. Схема магматизма восточной части зоны Центрального Памира // Доклады АН Таджикской ССР. 1972. Т. XV. № 2. С. 47–50.
16. Дмитриев Э.А., Володин П.К., Минаев В.Е. Интрузивный магматизм восточной части Центрального Памира: Отчет. Душанбе, 1972. 241 с.
17. Дронов В.И. Структурно-фациальные подзоны Центрального и Юго-Восточного Памира // Тектоника Памира и Тянь-Шаня: Материалы II Всесоюзного тектонического совещания в Душанбе. М.: Наука, 1964. С. 14–23.
18. Frost B.R., Barnes C.G., Collins W.J., Arculus R.G., Ellis D.J., Frost C.D., 2001. A Geochemical Classification for Granitic Rocks. Journal of Petrology 42 (11), 2033–2048. https://doi.org/10.1093/petrology/42.11.2033.
19. Горохов И.М., Дюфур М.С., Неймарк Л.А., Амелин Ю.В., Овчинникова Г.В., Гороховский Б.М. Раннепалеозойские фрагменты Гондваны в покровах Центрального Памира и низких Гималаев: геохимические и изотопные характеристики // Стратиграфия. Геологическая корреляция. 1993. Т. 1. № 3. C. 20–34.
20. Горохов И.М., Мельников Н.Н., Дюфур М.С., Кутявин Э.П., Баскаков А.В., Крылов И.Н. Rb-Sr системы в породах Центрального Памира: Влияние альпийского метаморфизма // Геохимия. 1993. № 10. C. 1457–1469.
21. Губин И.Е. Памир и сопредельные страны (схема тектонического районирования) // Известия Таджикского филиала АН СССР. 1943. № 2. C. 101–117.
22. Губин И.Е. Закономерности сейсмических проявлений на территории Таджикистана (Геология и сейсмичность). М.: Изд-во АН СССР, 1960. 465 с.
23. Harker A., 1909. The Natural History of Igneous Rocks. Methuen & Co., London, 385 p. https://doi.org/10.1017/CBO9780511920424.
24. He J., Kapp P., Chapman J.B., DeCelles P.G., Carrapa B., 2019. Structural Setting and Detrital Zircon U-Pb Geochronology of Triassic – Cenozoic Strata in the Eastern Central Pamir, Tajikistan. Geological Society of London Special Publications 483, 605–630. https://doi.org/10.1144/SP483.11.
25. Hu Y.-M., Li X.-W., Mo X.-X., Li L., Wang K., Wang B.-Zh., Gong X.-P., Dong G.-Ch., Liu Y.B., 2023. Early Paleozoic Subduction Imprints of the Proto-Tethys Ocean: Evidence from the Appinite-Diorite-Granodiorite Complex in East Kunlun, Northern Tibet. Lithos 452, 107215. https://doi.org/10.1016/j.lithos.2023.107215.
26. Kufner S.-K., Schurr B., Sippl Ch., Yuan X., Ratschbacher L., Ischuk A., Murodkulov Sh., Schneider F., Mechie J., Tilmann F., 2016. Deep India Meets Deep Asia: Lithospheric Indentation, Delamination and Break-off Under Pamir and Hindu Kush (Central Asia). Earth and Planetary Science Letters 435, 171–184. https://doi.org/10.1016/j.epsl.2015.11.046.
27. Li S., Zhao Sh., Liu X., Cao H., Yu Sh., Li X., Somerville I., Yu Sh., Suo Y., 2018. Closure of the Proto-Tethys Ocean and Early Paleozoic Amalgamation of Microcontinental Blocks in East Asia. Earth-Science Reviews 186, 37–75. https://doi.org/10.1016/j.earscirev.2017.01.011.
28. Li S.Z., Zhao Sh.-J., Yu Sh., Cao H.-H., Li X.-Y., Liu X., Guo X.-Y., Xiao W.-J. et al., 2016. Proto‐Tethys Ocean in East Asia (II): Affinity and Assembly of Early Paleozoic Micro-Continental Blocks. Acta Petrologica Sinica 32 (9), 2628–2644.
29. Li X.-H., Li Zh.-X., Wingate M.T.D., Chung S.-L., Liu Y., Lin G.-Ch., Li W.-X., 2006. Geochemistry of the 755 Ma Mundine Well Dyke Swarm, Northwestern Australia: Part of a Neoproterozoic Mantle Superplume Beneath Rodinia? Precambrian Research 146 (1–2), 1–15. https://doi.org/10.1016/j.precamres.2005.12.007.
30. Li X.-Y., Li S.-Zh., Yu Sh.-Y., Santosh M., Zhao Sh.-J., Guo X.-Y., Cao H.-H., Wang Y.-M., Huang Zh.-B., 2018. Early Paleozoic Arc–Back-Arc System in the Southeastern Margin of the North Qilian Orogen, China: Constraints from Geochronology, and Whole-Rock Elemental and Sr-Nd-Pb-Hf Isotopic Geochemistry of Volcanic Suites. Gondwana Research 59, 9–26. https://doi.org/10.1016/j.gr.2018.03.008.
31. Liu X.-Q., Zhang Ch.-L., Ye X.-T., Zou H., Hao X.-Sh., 2019. Cambrian Mafic and Granitic Intrusions in the Mazar-Tianshuihai Terrane, West Kunlun Orogenic Belt: Constraints on the Subduction Orientation of the Proto-Tethys Ocean. Lithos 350–351, 105226. https://doi.org/10.1016/J.LITHOS.2019.105226.
32. Liu X.-Q., Zhang Ch.-L., Zou H., Ye X.-T., 2023. Diverse Metavolcanic Sequences in the Cambrian Accretionary Complex at the Pamir Syntax: Implications for Tectonic Evolution from Proto-Tethys to Paleo-Tethys. Journal of Asian Earth Sciences 241, 105481. https://doi.org/10.1016/j.jseaes.2022.105481.
33. Марковский А.П. О взаимоотношении Памира и Тянь-Шаня // Научные итоги Таджикско-Памирской экспедиции. М.: Изд-во АН СССР, 1936. С. 156–158.
34. Müller R.D., Flament N., Cannon J., Tetley M.G., Williams S.E., Cao X., Bodur Ӧ.F., Zahirovic S., Merdith A., 2022. A Tectonic-Rules-Based Mantle Reference Frame Since 1 Billion Years Ago – Implications for Supercontinent Cycles and Plate–Mantle System Evolution. Solid Earth 13 (7), 1127–1159. https://doi.org/10.5194/se-13-1127-2022.
35. Наливкин Д.В. Палеогеография Средней Азии // Научные итоги Таджикско-Памирской экспедиции. М.: Изд-во АН СССР, 1936. С. 35–86.
36. Николаев В.А. Очерк магматической геологии Памира и Дарваза // Научные итоги Таджикско-Памирской экспедиции. М.: Изд-во АН СССР, 1936. С. 329–387.
37. Odinaev Sh., Aminov J., Kallistov G., Ma X., Tang G.-R., Murodov A., Stepanov A.S., Oimuhammadzoda I. et al., 2025. Cambrian Intermediate-Felsic Rocks in Central Pamir: Insights Into Source Heterogeneity and Subduction Initiation in the Proto-Tethys Ocean. Lithos 516–517, 108251. https://doi.org/10.1016/j.lithos.2025.108251.
38. Пашков Б.Р., Буданов В.И. Тектоника зоны сочленения Юго-Восточного и Юго-Западного Памира // Геотектоника. 1990. № 3. С. 70–79.
39. Pearce J.A., 2008. Geochemical Fingerprinting of Oceanic Basalts with Applications to Ophiolite Classification and the Search for Archean Oceanic Crust. Lithos 100 (1–4), 14–48. https://doi.org/10.1016/j.lithos.2007.06.016.
40. Pearce J.F., Ernst R.E., Peate D.W., Rogers C., 2021. LIP Printing: Use of Immobile Element Proxies to Characterize Large Igneous Provinces in the Geologic Record. Lithos 392–393, 106068. https://doi.org/10.1016/j.lithos.2021.106068.
41. Peccerillo A., Taylor S.R., 1976. Geochemistry of Eocene Calc-Alkaline Volcanic Rocks from the Kastamonu Area, Northern Turkey. Contributions to Mineralogy and Petrology 58 (1), 63–81. https://doi.org/10.1007/BF00384745.
42. Петрография Таджикистана. Памир. Душанбе: Дониш, 1988. Т. II. 244 с.
43. Robinson A.C., 2015. Mesozoic Tectonics of the Gondwanan Terranes of the Pamir Plateau. Journal of Asian Earth Sciences 102, 170–179. http://dx.doi.org/10.1016/j.jseaes.2014.09.012.
44. Rutte D., Ratschbacher L., Schneider S., Stübner K., Stearns M.A., Gulzar M.A., Hacker B.R., 2017. Building the Pamir-Tibetan Plateau – Crustal Stacking, Extensional Collapse, and Lateral Extrusion in the Central Pamir: 1. Geometry and Kinematics. Tectonics 36 (3), 342–384. https://doi.org/10.1002/2016TC004293.
45. Schwab M., Ratschbacher L., Siebel W., McWilliams M., Minaev V., Lutkov V., Chen F., Stanek K., Nelson B., Frisch W., Wooden J.L., 2004. Assembly of the Pamirs: Age and Origin of Magmatic Belts from the Southern Tien Shan to the Southern Pamirs and Their Relation to Tibet. Tectonics 23 (4), TC4002. https://doi.org/10.1029/2003TC001583.
46. Слободской Р.М. Происхождение гнейсовидности в кварцдиоритовом массиве Пангаз-Джилга (Восточный Памир) и механизм его формировании // Доклады АН СССР. 1969. Т. 186. № 3. С. 682–685.
47. Sun S.-S., McDonough W.F., 1989. Chemical and Isotopic Systematics of Oceanic Basalts: Implications for Mantle Composition and Processes. Geological Society of London Special Publications 42 (1), 313–345. https://doi.org/10.1144/GSL.SP.1989.042.01.19.
48. Tang G.-J., Wyman D.A., Dan W., Wang Q., Liu X.-J., Yang Y.-N., Gadoev M., Oimahmadov I., 2024. Protracted and Progressive Crustal Melting During Continental Collision in the Pamir and Plateau Growth. Journal of Petrology 65 (4), egae024. https://doi.org/10.1093/petrology/egae024.
49. Wang Sh., Tang W., Liu Yi., Liu X., Yao X., 2020. Rushan-Pshart Paleo-Tethyan Suture Deduced from Geochronological, Geochemical, and Sr-Nd-Hf Isotopic Characteristics of Granitoids in Pamir. Lithos 364–365, 105549. https://doi.org/10.1016/j.lithos.2020.105549.
50. Warr L.N., 2021. IMA–CNMNC Approved Mineral Symbols. Mineralogical Magazine 85 (3), 291–320. https://doi.org/10.1180/mgm.2021.43.
51. Weinberg R.F., Hasalová P., 2015. Water-Fluxed Melting of the Continental Crust: A Review. Lithos 212–215, 158–188. https://doi.org/10.1016/j.lithos.2014.08.021.
52. Xie Ch., Duan M., Zhan Y., Wang B., Song Y., Zhang J., Hao Y., 2024. Subduction of the Proto-Tethys Ocean Along the Northern Margin of Gondwana: Evidence from the Middle Cambrian High-Mg Dioritic Pluton in the Northern Lhasa Terrane, Tibet. Journal of Asian Earth Sciences 272, 106247. https://doi.org/10.1016/j.jseaes.2024.106247.
53. Yogibekov D., Sang M., Xiao W., Mamadjonov Y., Zhou C., Yang H., Mao Q., Aminov J., Khalimov G., Ashuraliev S., 2023. Post-Collisional Magmatism Associated with the Final Closure of the Rushan-Pshart Meso-Tethys Ocean in Pamir, Tajikistan: Inference from Cretaceous Igneous Rocks of the Pshart Accretionary Complex. Frontiers in Earth Science 10, 1090952. https://doi.org/10.3389/feart.2022.1090952.
54. Yogibekov D., Sang M., Xiao W., Windley B.F., Mamadjonov Y., Yang H., Huang P., Aminov J., Vatanbekov F., 2020. Late Palaeozoic to Late Triassic Northward Accretion and Incorporation of Seamounts Along the Northern South Pamir: Insights from the Anatomy of the Pshart Accretionary Complex. Geological Journal 55 (12), 7837–7857. https://doi.org/10.1002/gj.3906.
55. Zanchi A., Angiolini L., Zanchetta S., Nicora A., Vezzoli G., 2013. The Cimmerian Accretion of SE Pamir and Its Relationships with the Surrounding Cimmerian Blocks. In: Abstracts of the EGU General Assembly (April 7–12, 2013, Vienna, Austria). Vol. 15. EGU, EGU2013-12805.
56. Zhai Q., Li C., Wang J., Hu P., Tang Y., Wang H., 2019. The Open of the Paleo-Tethys Ocean: Inferred from the Early Paleozoic Ophiolite in the Qiangtang Area, Northern Tibetan Plateau. Acta Geologica Sinica 93 (S2), 43–43. https://doi.org/10.1111/1755-6724.14184.
57. Zhang Ch-.L., Zou H.-B., Ye X.-T., Chen X.-Y., 2019. Tectonic Evolution of the Western Kunlun Orogenic Belt Along the Northern Margin of the Tibetan Plateau: Implications for the Assembly of the Tarim Terrane to Gondwana. Geoscience Frontiers 10 (3), 973–988. https://doi.org/10.1016/j.gsf.2018.05.006.
58. Zhao Ch., Qin K.-Zh., Song G.-X., Li G.-M., Mao J.-W., 2021. The Triassic Duobaoshan Appinite-Granite Suite, NE China: Implications for a Water-Fluxed Lithospheric Mantle and an Extensional Setting Related to the Subduction of the Mongol-Okhotsk Ocean. Lithos 394–395, 106169. https://doi.org/10.1016/j.lithos.2021.106169.
Об авторах
Ш. А. ОдинаевТаджикистан
510640, Гуанчжоу, ул. Кехуа, 511, Китай
100049, Пекин, Юцюань Роуд, 19A, Китай
734063, Душанбе, ул. Айни, 267
Конфликт интересов:
Авторы заявляют об отсутствии конфликта интересов, связанного с этой рукописью.
Г. А. Каллистов
Россия
620016, Екатеринбург, ул. Академика Вонсовского, 15
Конфликт интересов:
Авторы заявляют об отсутствии конфликта интересов, связанного с этой рукописью.
Дж. Х. Аминов
Казахстан
010000, Астана, прт Кабанбай батыра, 53
Конфликт интересов:
Авторы заявляют об отсутствии конфликта интересов, связанного с этой рукописью.
G.-J. Tang
Китай
510640, Гуанчжоу, ул. Кехуа, 511
Конфликт интересов:
Авторы заявляют об отсутствии конфликта интересов, связанного с этой рукописью.
Д. А. Ахмедов
Россия
620016, Екатеринбург, ул. Академика Вонсовского, 15
620144, Екатеринбург, ул. Куйбышева, 30
Конфликт интересов:
Авторы заявляют об отсутствии конфликта интересов, связанного с этой рукописью.
А. К. Литвиненко
Россия
117997, Москва, ул. Миклухо-Маклая, 23,
Конфликт интересов:
Авторы заявляют об отсутствии конфликта интересов, связанного с этой рукописью.
С. Б. Ашуралиев
Таджикистан
734063, Душанбе, ул. Айни, 267
Конфликт интересов:
Авторы заявляют об отсутствии конфликта интересов, связанного с этой рукописью.
Дж. Ш. Ёгибеков
Китай
830011, Урумчи, ул. Kexue Yuan, 2
Конфликт интересов:
Авторы заявляют об отсутствии конфликта интересов, связанного с этой рукописью.
Рецензия
Для цитирования:
Одинаев Ш.А., Каллистов Г.А., Аминов Д.Х., Tang G., Ахмедов Д.А., Литвиненко А.К., Ашуралиев С.Б., Ёгибеков Д.Ш. ОСОБЕННОСТИ ВЕЩЕСТВЕННОГО СОСТАВА РАННЕПАЛЕОЗОЙСКИХ ГРАНИТОИДОВ ПАНГАЗДЖИЛГИНСКОГО КОМПЛЕКСА, ВОСТОЧНАЯ ЧАСТЬ ЦЕНТРАЛЬНОГО ПАМИРА, ТАДЖИКИСТАН. Геодинамика и тектонофизика. 2025;16(6):861. https://doi.org/10.5800/GT-2025-16-6-0861. EDN: SXZDBM
For citation:
Odinaev Sh.A., Kallistov G.A., Aminov J.H., Tang G., Akhmedov D.A., Litvinenko A.K., Ashuraliev S.B., Yogibekov J.Sh. COMPOSITIONAL FEATURES OF THE EARLY PALEOZOIC GRANITOIDS OF THE PANGHAZJILGA COMPLEX, EASTERN PART OF THE CENTRAL PAMIR, TAJIKISTAN. Geodynamics & Tectonophysics. 2025;16(6):861. (In Russ.) https://doi.org/10.5800/GT-2025-16-6-0861. EDN: SXZDBM












































